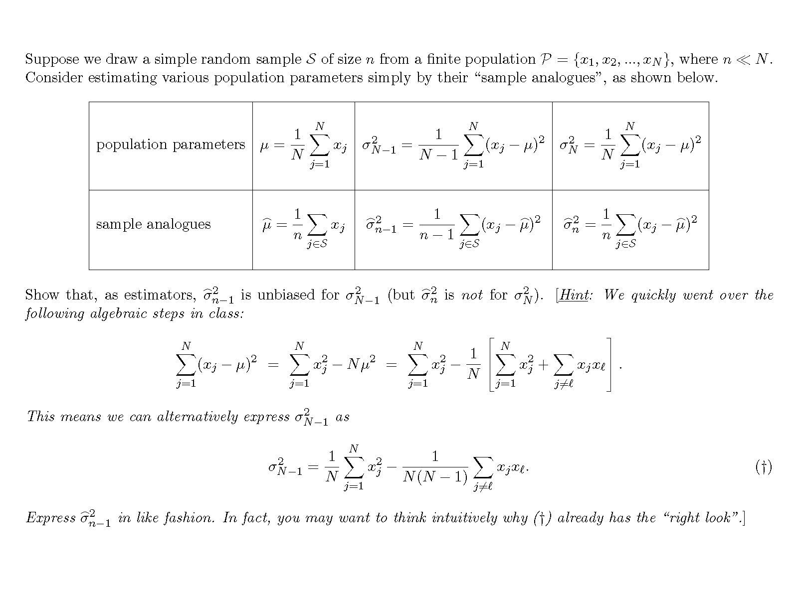
STAT 845 @ UW by Prof. M. Zhu

Exercise 2023.G