STAT 241 @ UW by Professor M. Zhu
(Winter 2023)
Reference Solutions to Assignments & Midterms
( selected from your fellow classmates; for your reference only )
| Assignment #1: | Q1 | | | Q2 |
| Assignment #2: | Q1 | | | Q2 (p1 | p2) |
| Assignment #3: | Q1 (p1 | p2) | | | Q2 (p1 | p2) |
| Assignment #4: | Q1 (p1 | p2 | code) | | | Q2 |
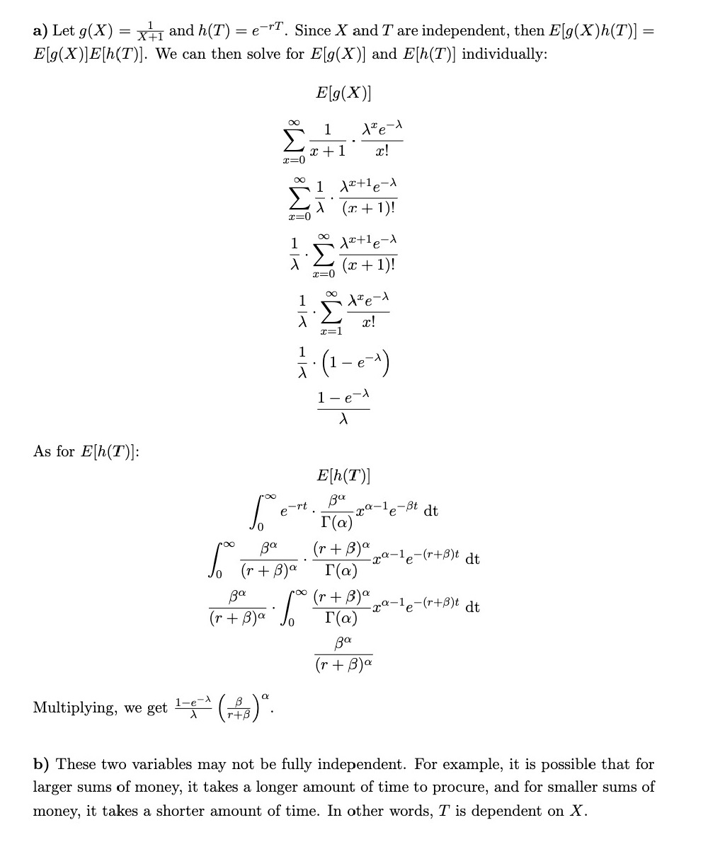
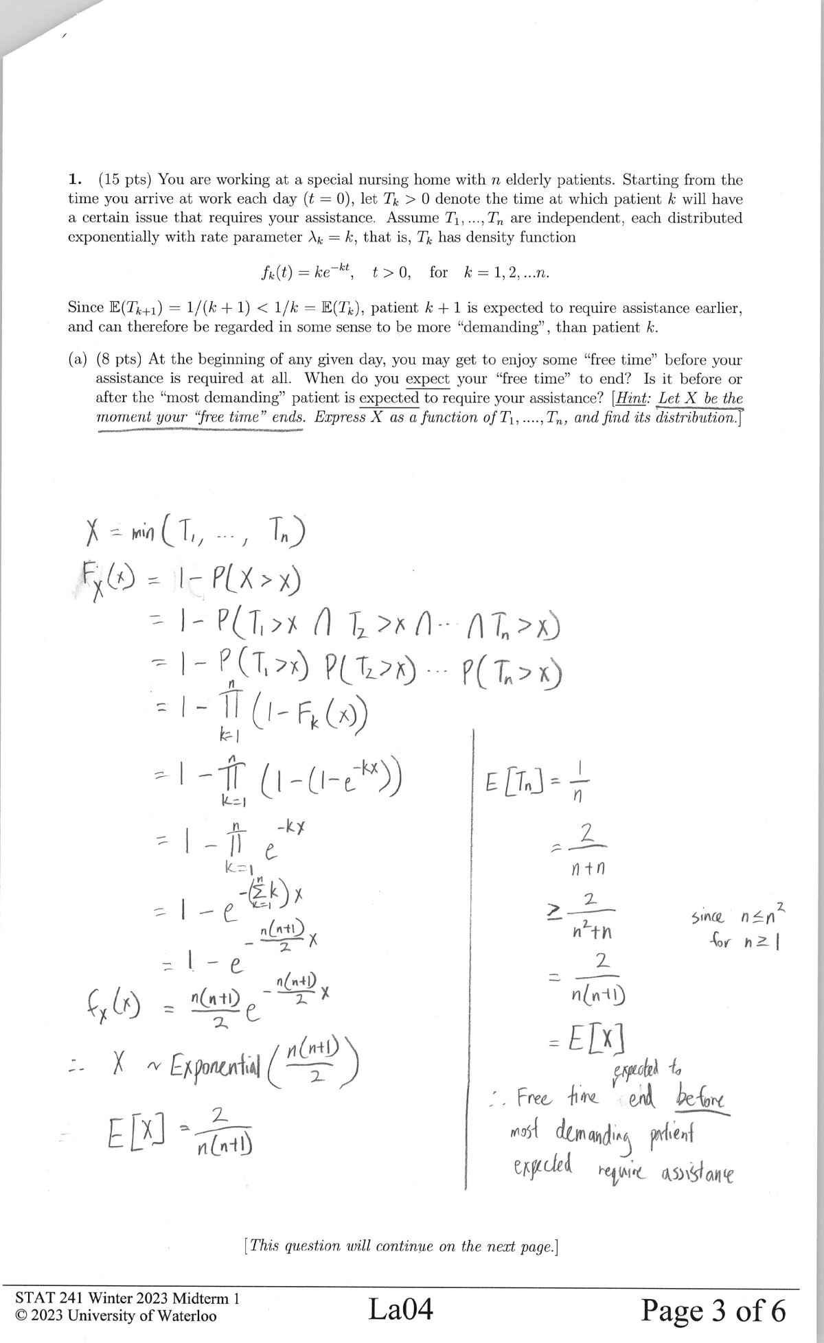
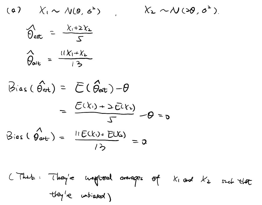
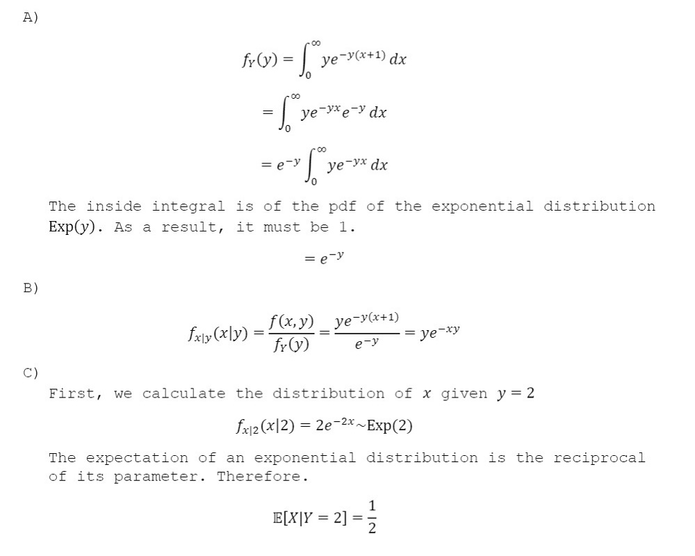
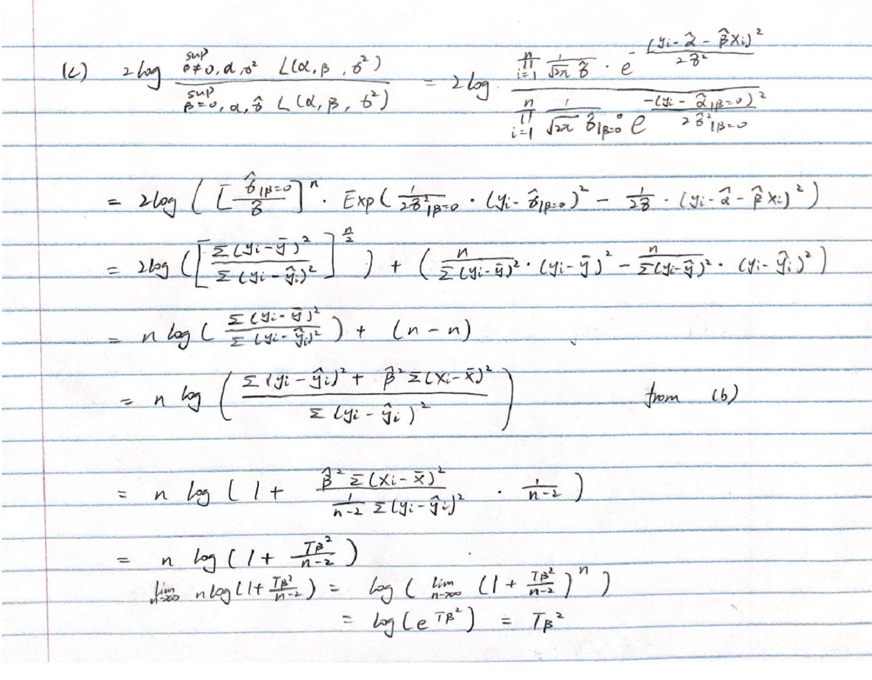
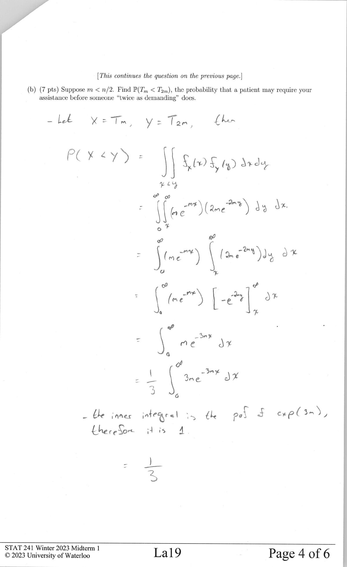
| Midterm #1: | Q1 (p3 | p4) | | | Q2 (p5 | p6) |
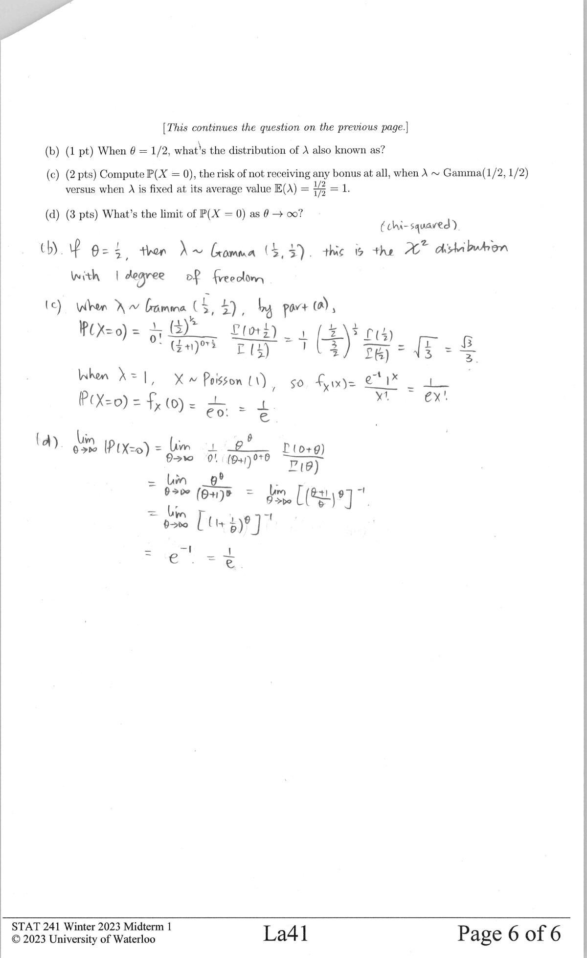
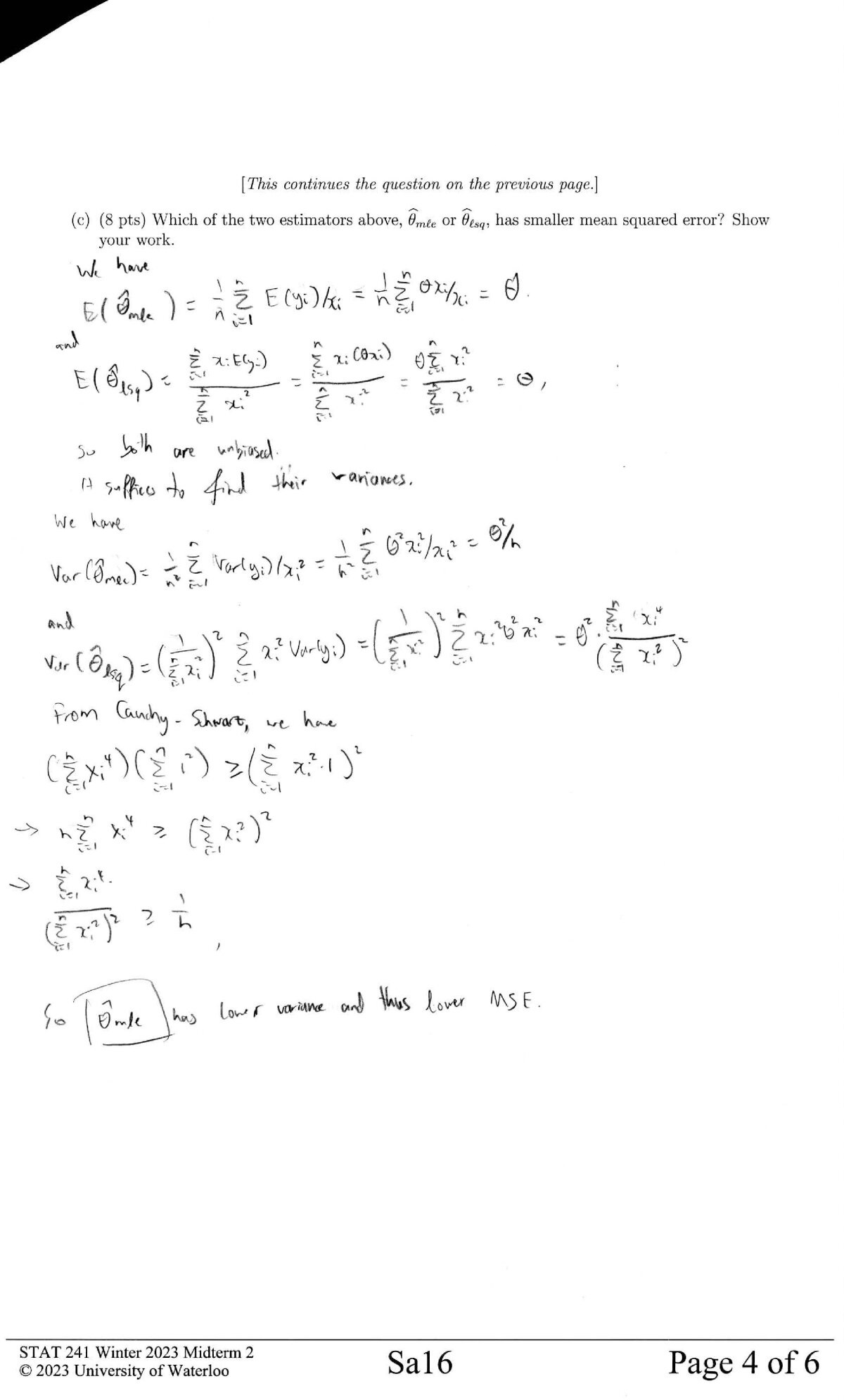
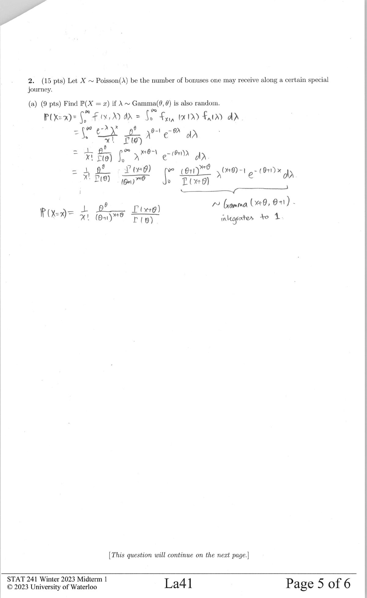
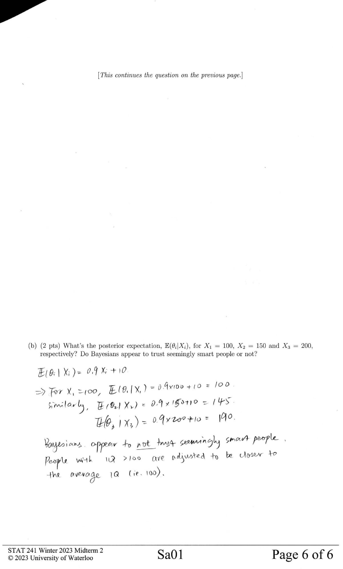
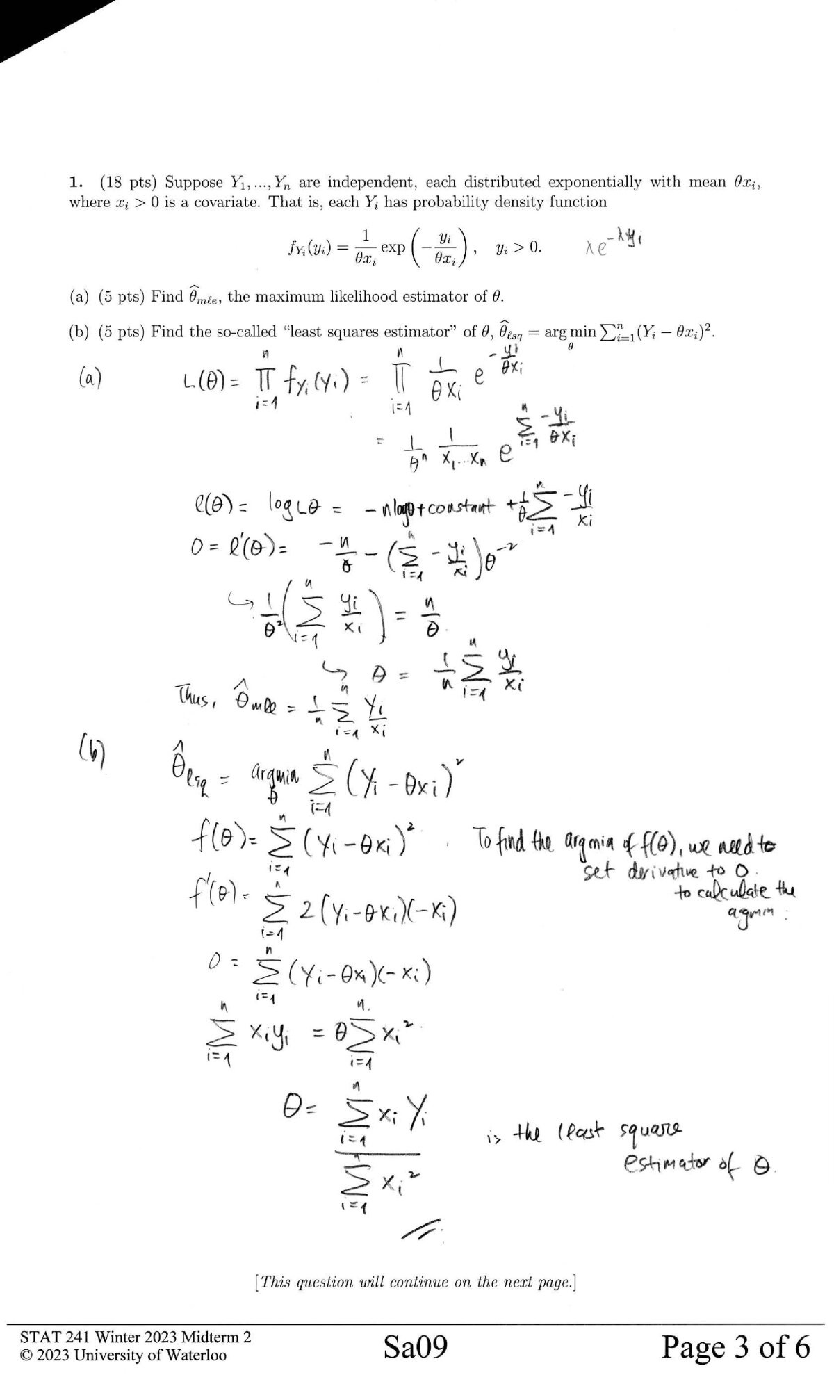
| Midterm #2: | Q1 (p3 | p4) | | | Q2 (p5 | p6) |
Assignment #5: |
Q1 | | | Q2 |
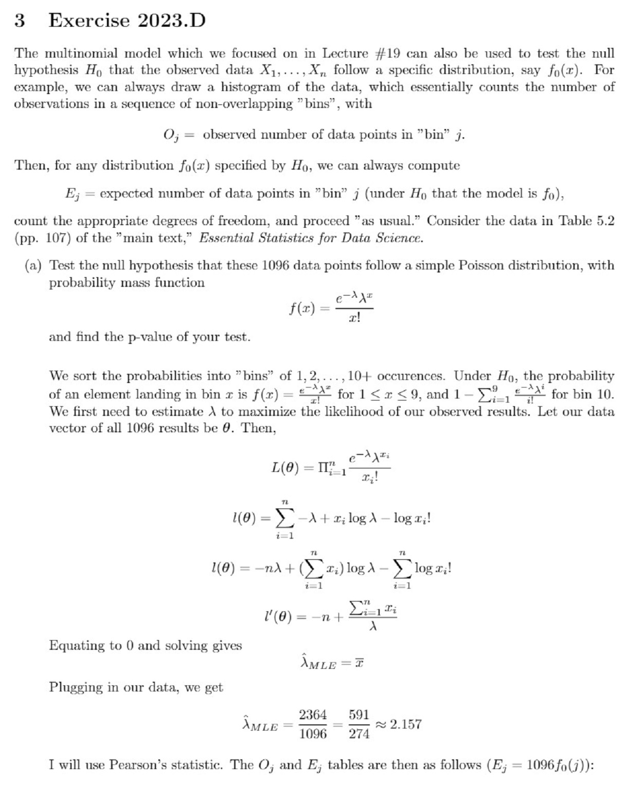
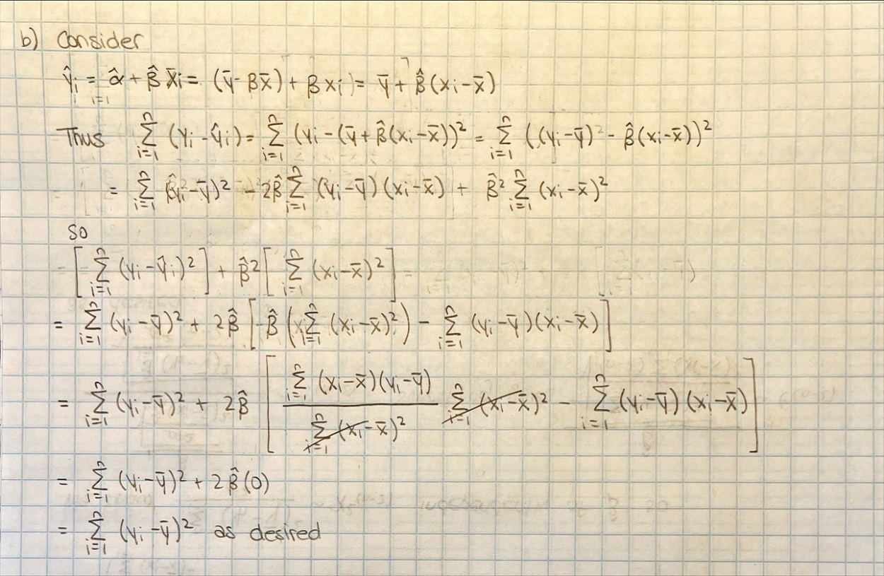
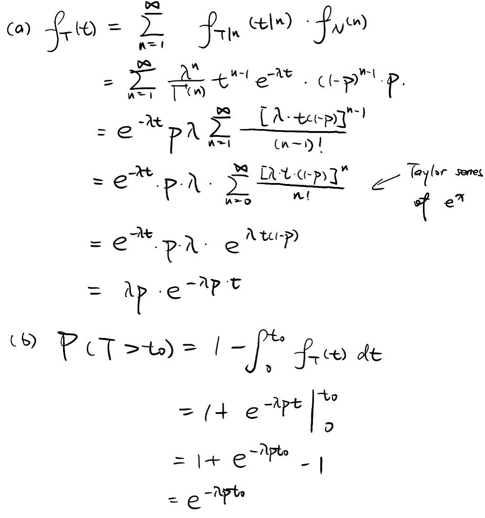
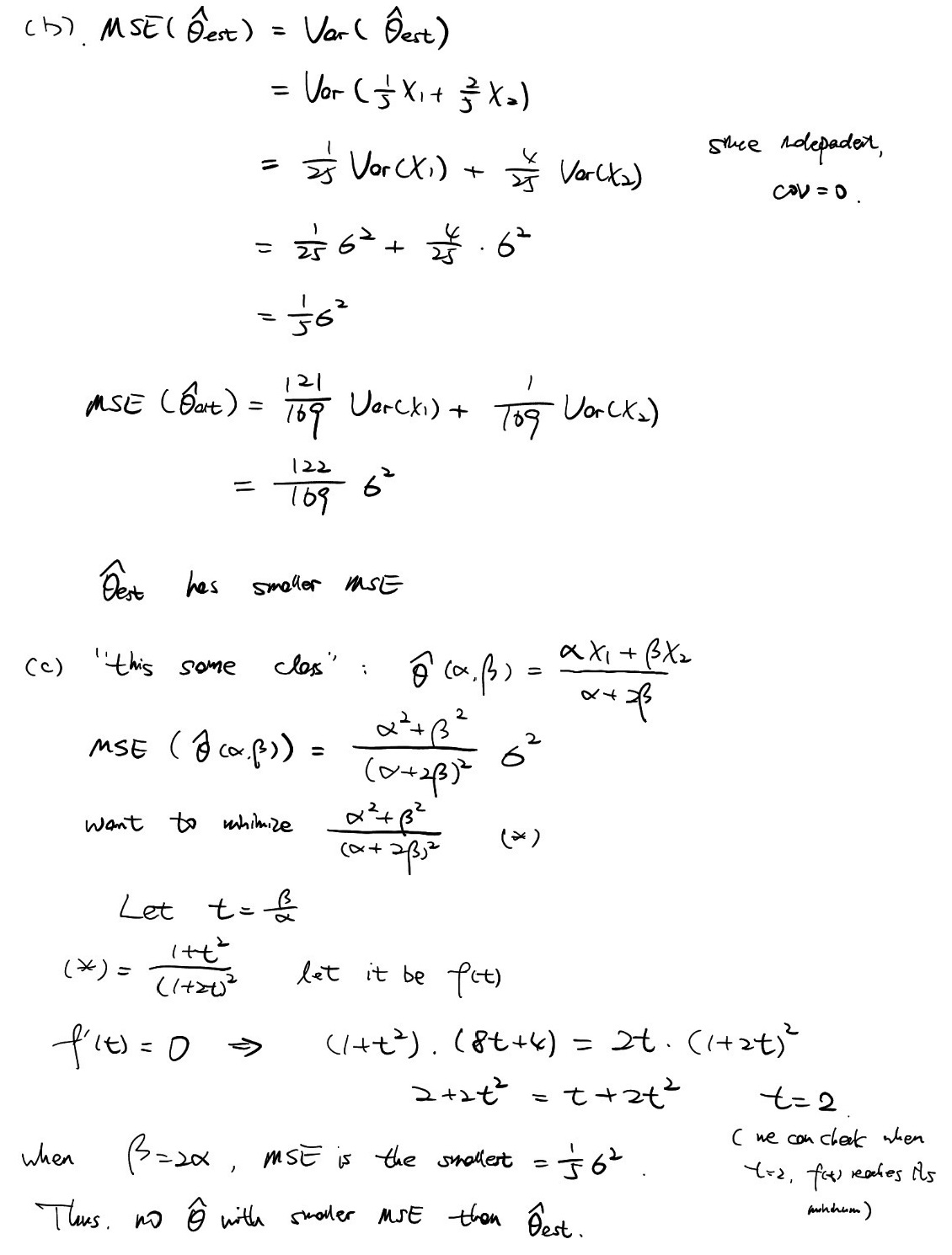
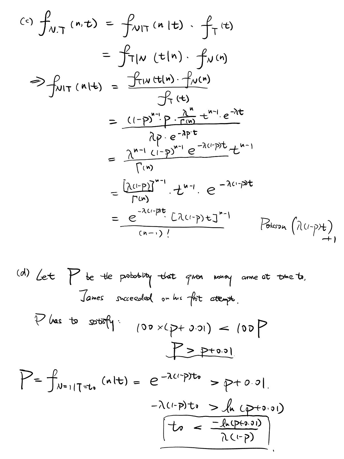
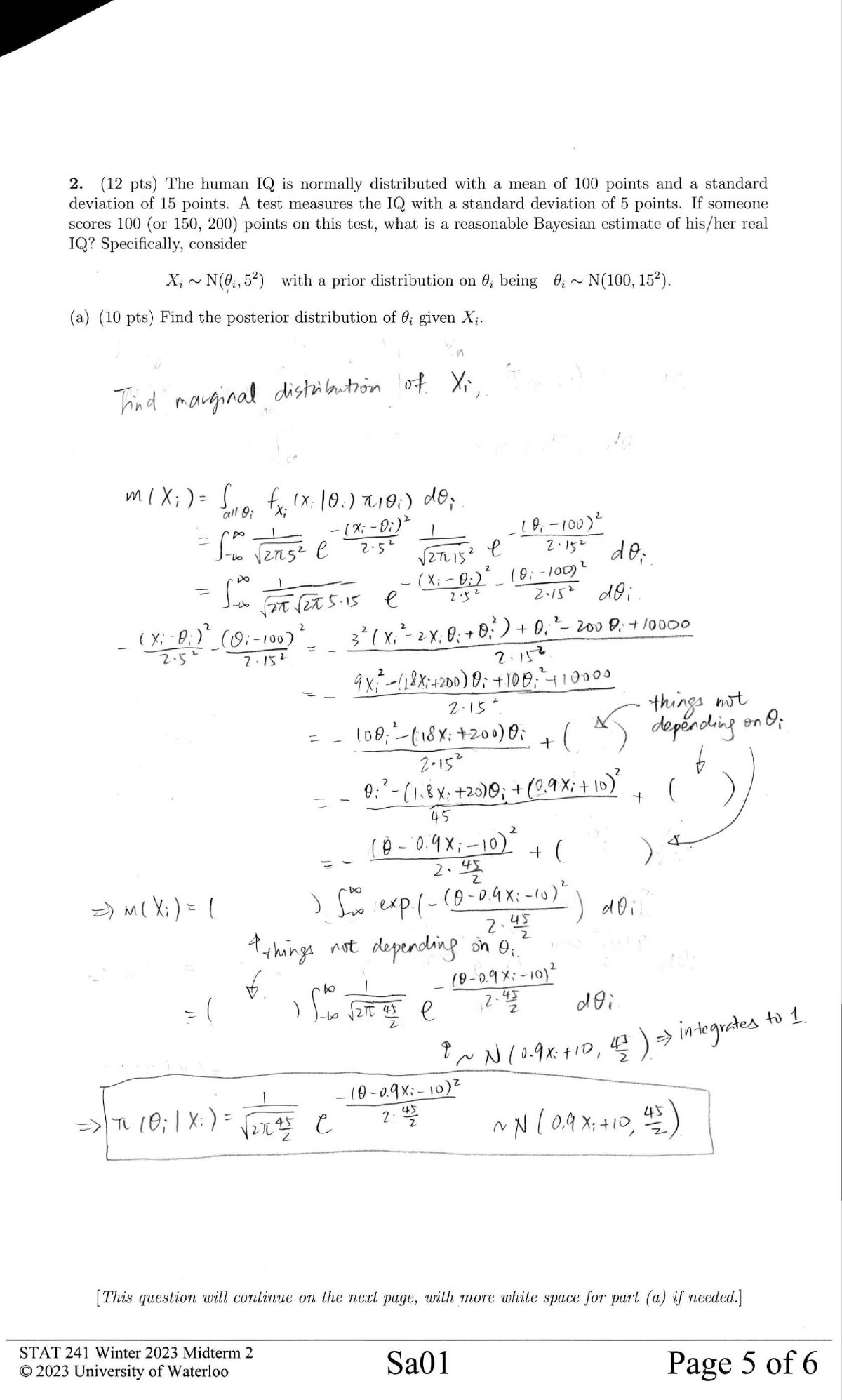
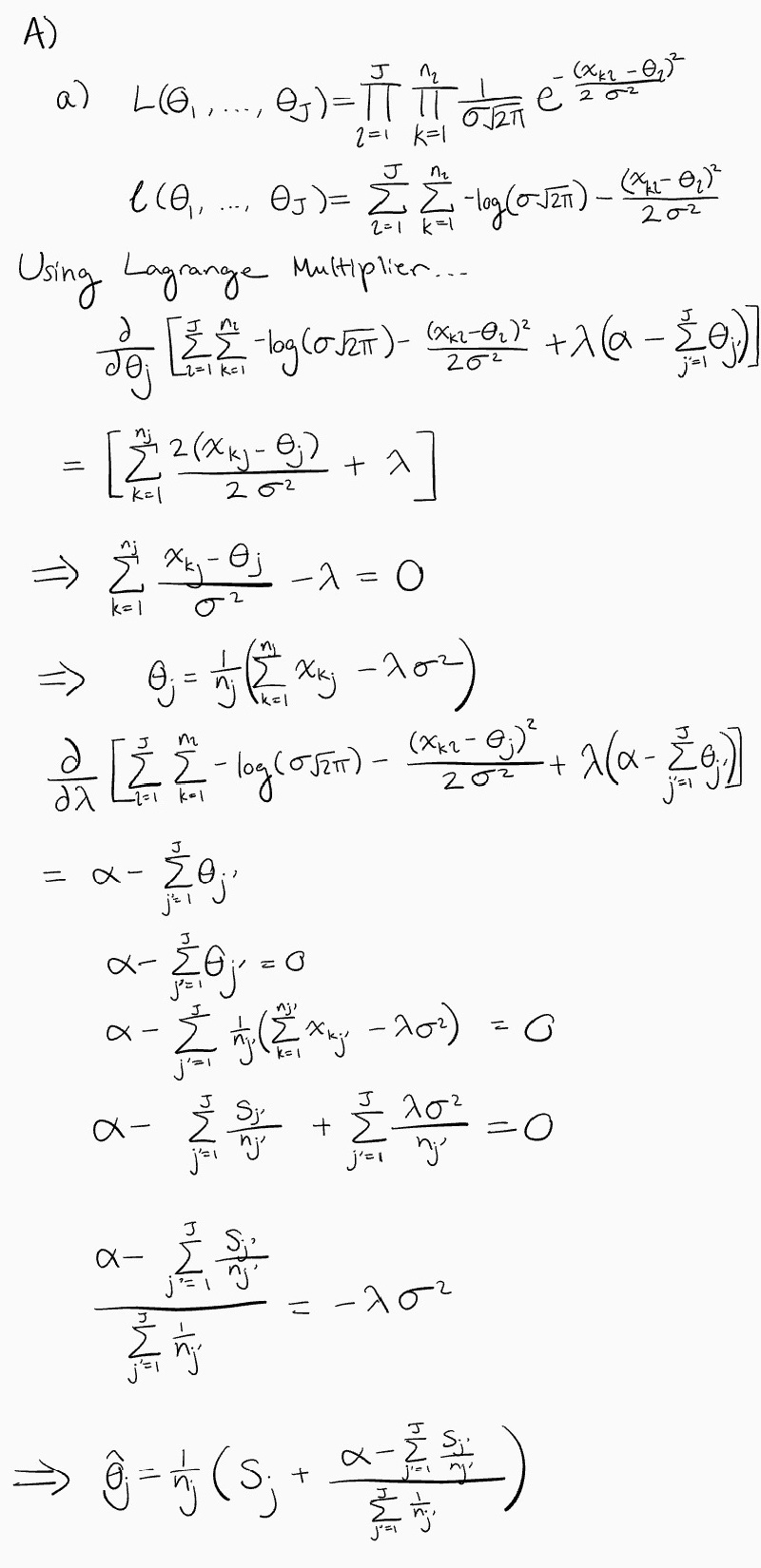
| Q3 (p1 | p2) | | | Q4 (a | b | c) |