When we return midterm tests, someone almost always asks what the average was. While we could list out all marks to give a picture of how students performed, this would be tedious. It would also give more detail than could be immediately digested. If we summarize the results by telling a class the average mark, students immediately get a sense of how well the class performed. For this reason, "summary statistics" are often more helpful than giving full details of every outcome.
To illustrate some of the ideas involved, suppose we were to observe cars
crossing a toll bridge, and record the number,
,
of people in each car. Suppose in a small study data on 25 cars were
collected. We could list out all 25 numbers observed, but a more helpful way
of presenting the data would be in terms of the frequency
distribution below, which gives the number of times (the
``frequency'') each value of
occurred.

We could also draw a frequency histogram of these frequencies:
Frequency Histogram
Frequency distributions or histograms are good summaries of data because they
show the variability in the observed outcomes very clearly. Sometimes,
however, we might prefer a single-number summary. The most common such summary
is the average, or arithmetic mean of the outcomes. The mean of
outcomes
for a random variable
is
,
and is denoted by
.
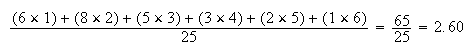
The arithmetic mean for the example above can be calculated as
That is, there was an average of 2.6 persons per car. A set of observed
outcomes
for a random variable
is termed a sample in probability and statistics. To reflect
the fact that this is the average for a particular sample, we refer to it as
the sample mean. Unless somebody deliberately "cooked" the
study, we would not expect to get precisely the same sample mean if we
repeated it another time. Note also that
is not in general an integer, even though
is.
Two other common summary statistics are the median and mode.
The median of a sample is a value such that half the results are below it and half above it, when the results are arranged in numerical order.
If these 25 results were written in order, the
outcome would be a 2. So the median is 2. By convention, we go half way
between the middle two values if there are an even number of observations.
The mode of the sample is the value which occurs most often. In this case the mode is 2. There is no guarantee there will be only a single mode.
The statistics in the preceding section summarize features of a sample of
observed
-values.
The same idea can be used to summarize the probability distribution of a
random variable
.
To illustrate, consider the previous example, where
is the number of persons in a randomly selected car crossing a toll bridge.
Note that we can re-arrange the expression used to calculate
for the sample,
as
Now suppose we know that the probability function of
is given by

1
2
3
4
5
6

.30
.25
.20
.15
.09
.01
Using the relative frequency ``definition'' of
probability, if we observed a very large number of cars, the fraction (or
relative frequency) of times
would be .30, for
,
this proportion would be .25, etc. So, in theory,
(according to the probability model) we would expect the mean to be
if we observed an infinite number of cars. This ``theoretical'' mean is
usually denoted by
or
,
and requires us to know the distribution of
.
With this background we make the following mathematical
definition.
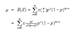
The expectation (also called the mean or the expected value) of a discrete
random variable
with probability function
is
The expectation of
is also often denoted by the Greek letter
.
The expectation of
can be thought of physically as the average of the
-values
that would occur in an infinite series of repetitions of the process where
is defined. This value not only describes one aspect of a probability
distribution, but is also very important in certain types of applications. For
example, if you are playing a casino game in which
represents the amount you win in a single play, then
represents your average winnings (or losses!) per play.
Sometimes we may not be interested in the average value of
itself, but in some function of
.
Consider the toll bridge example once again, and suppose there is a toll which
depends on the number of car occupants. For example, a toll of $1 per car plus
25 cents per occupant would produce an average toll for the 25 cars in the
study of Section 7.1 equal to
If
has the theoretical probability function
given above, then the average value of this $(.25X + 1) toll would be defined
in the same way, as,
We call this the expectation of
and write
.
As a further illustration, suppose a toll designed to encourage car pooling
charged
if there were
people in the car. This scheme would yield an average toll, in theory, of
that
is,
is the ``expectation'' of
.
With this as background, we can now make a formal definition.
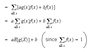
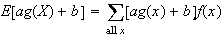
The expectation of some function
of a random variable
with probability function
is
Notes:
You can interpret
as the average value of
in an infinite series of repetitions of the process where
is defined.
is also known as the ``expected value'' of
.
This name is somewhat misleading since the average value of
may be a value which
never takes - hence unexpected!
The case where
reduces to our earlier definition of
.
Confusion sometimes arises because we have two notations for the mean of a
probability distribution:
and
mean the same thing. There is nothing wrong with this.
When calculating expectations, look at your answer to be sure it makes sense.
If
takes values from 1 to 10, you should know you've made an error if you get
or
.
In physical terms,
is the balance point for the histogram of
.
Let us note a couple of mathematical properties of expectation that can help to simplify calculations.
Properties of Expectation:
If your linear algebra is good, it may help if you think of
as being a linear operator. Otherwise you'll have to remember these and
subsequent properties.
For constants
and
,
Proof:
For constants
and
and functions
and
,
it is also easy to show
Don't let expectation intimidate you. Much of it is common sense. For example,
property 1 says
if we let
and
.
The expectation of a constant
is of course equal to
.
It also says
if we let
,
,
and
.
This is obvious also. Note, however, that for
a nonlinear function, it is not true that
;
this is a common mistake. (Check this for the example above when
.)
Because expectation is an average value, it is frequently used in problems
where costs or profits are connected with the outcomes of a random variable
.
It is also used a lot as a summary statistic for probability distributions;
for example, one often hears about the expected life (expectation of lifetime)
for a person or the expected return on an investment.
The following are examples.
Example: Expected Winnings in a Lottery
A small lottery sells 1000 tickets numbered
;
the tickets cost $10 each. When all the tickets have been sold the draw takes
place: this consists of a simple ticket from 000 to 999 being chosen at
random. For ticket holders the prize structure is as follows:
Your ticket is drawn - win $5000.
Your ticket has the same first two number as the winning ticket, but the third is different - win $100.
Your ticket has the same first number as the winning ticket, but the second number is different - win $10.
All other cases - win nothing.
Let the random variable
represent the winnings from a given ticket. Find
.
Solution: The possible values for
are 0, 10, 100, 5000 (dollars). First, we need to find the probability
function for
.
We find (make sure you can do this) that
has values
The expected winnings are thus the expectation of
,
or
Thus, the gross expected winnings per ticket are $6.80. However, since a
ticket costs $10 your expected net winnings are negative, -$3.20 (i.e. an
expected loss of $3.20).
Remark: For any lottery or game of chance the expected net winnings per play is a key value. A fair game is one for which this value is 0. Needless to say, casino games and lotteries are never fair: the net winnings for a player are negative.
Remark: The random variable associated with a given
problem may be defined in different ways but the expected winnings will remain
the same. For example, instead of defining
as the amount won we could have defined
as follows:
![]() |
all 3 digits of number match winning ticket | |
![]() |
1st 2 digits (only) match | |
![]() |
1st digit (but not the 2nd) match | |
![]() |
1st digit does not match |
Now, we would define the function
as the winnings when the outcome
occurs. Thus,
The expected winnings are then
the same as before.
Example: Diagnostic Medical Tests
Often there are cheaper, less accurate tests for diagnosing the presence of some conditions in a person, along with more expensive, accurate tests. Suppose we have two cheap tests and one expensive test, with the following characteristics. All three tests are positive if a person has the condition (there are no "false negatives"), but the cheap tests give "false positives".
Let a person be chosen at random, and let
= {person has the condition}. The three tests are
| Test 1: |
(positive test
= .05; test costs $5.00 |
|
| Test 2: |
(positive test
= .03; test costs $8.00 |
|
| Test 3: |
(positive test
= 0; test costs $40.00 |
We want to check a large number of people for the condition, and have to choose among three testing strategies:
Use Test 1, followed by Test 3 if Test 1 is positive.
Use Test 2, followed by Test 3 if Test 2 is positive.
Use Test 3.
Determine the expected cost per person under each of strategies (i), (ii) and
(iii). We will then choose the strategy with the lowest expected cost. It is
known that about .001 of the population have the condition (i.e.
).
Solution: Define the random variable
as follows (for a random person who is tested):
![]() |
if the initial test is negative | |
![]() |
if the initial test is positive |
Also let
be the total cost of testing the person. The expected cost per person is then
The probability function
for
and function
differ for strategies (i), (ii) and (iii). Consider for example strategy (i).
Then
The rest if the probabilities, associated values of
and
are obtained below.

Thus, its cheapest to use strategy (i).
A lottery has tickets numbered 000 to 999 which are sold for $1 each. One ticket is selected at random and a prize of $200 is given to any person whose ticket number is a permutation of the selected ticket number. All 1000 tickets are sold. What is the expected profit or loss to the organization running the lottery?
Its useful to know the means,
of probability models derived in Chapter
6.
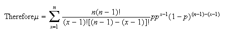
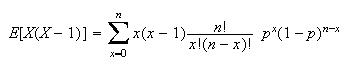
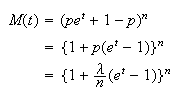
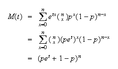
Example: (Mean of binomial distribution)
Let
.
Find
.
Solution:
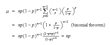
When
the value of the expression is 0. We can therefore begin our sum at
.
Provided
,
we can expand
as
(so it is important to eliminate the term when
).

Let
in the sum, to get
Exercise: Does this result make sense? If you try something 100 times and there is a 20% chance of success each time, how many successes do you expect to get, on average?
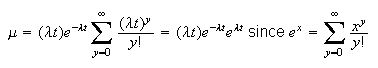
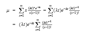
Let
have a Poisson distribution where
is the average rate of occurrence and the time interval is of length
.
Find
.
Solution:
The probability function of
is
.
Then
.
As in the binomial example, we can eliminate the term when
and expand
as
for
.
Let
in the sum.

Note that we used the symbol
earlier in connection with the Poisson model; this was because we knew (but
couldn't show until now) that
.
Exercise: These techniques can also be used to work out the
mean for the hypergeometric or negative binomial distributions. Looking back
at how we proved that
shows the same method of summation used to find
.
However, in Chapter 8 we will give a simpler method of finding the means of
these distributions, which are
(hypergeometric) and
(negative binomial).
Variability:
While an average is a useful summary of a set of observations, or of a
probability distribution, it omits another important piece of information,
namely the amount of variability. For example, it would be possible for car
doors to be the right width, on average, and still have no doors fit properly.
In the case of fitting car doors, we would also want the door widths to all be
close to this correct average. We give a way of measuring the amount of
variability next. You might think we could use the average difference between
and
to indicate the amount of variation. In terms of expectation, this would be
.
However,
(since
is a constant) = 0. We soon realize that to measure variability we need a
function that is the same sign for
and for
.
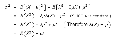
We now define
The variance of a r.v
is
,
and is denoted by
or by Var
.
In words, the variance is the
average square of the distance from the mean. This turns out to be a very
useful measure of the variability of
.
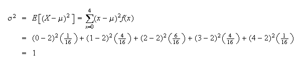
Example: Let
be the number of heads when a fair coin is tossed 4 times. Then
so
.
Without doing any calculations we know
because
is always between 0 and 4. Hence it can never be further away from
than 2. This makes the average square of the distance from
at most 4. The values of
are
![]() |
0 | 1 | 2 | 3 | 4 | since
![]() |
= | ![]() |
![]() |
1/16 | 4/16 | 6/16 | 4/16 | 1/16 | = | ![]() |
The value of
(i.e.
)
is easily found here:
If we keep track of units of
measurement the variance will be in peculiar units; e.g. if
is the number of heads in 4 tosses of a coin,
is in units of
heads
!
We can regain the original units by taking (positive)
.
This is called the standard deviation of
,
and is denoted by
,
or as
.
The standard deviation of a random variable
is
Both variance and standard deviation are commonly used to measure variability.
The basic definition of
variance is often awkward to use for mathematical calculation of
,
whereas the following two results are often useful:
Proof:
Using properties of expectation,
(2)
Formula (2) is most often used when there is an
term in the denominator of
.
Otherwise, formula (1) is generally easier to
use.
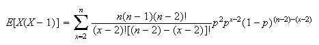
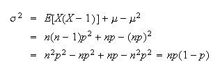
Example: (Variance of binomial distribution)
Let
.
Find Var
Solution:
,
so we'll use formula (2).
If
or
the value of the term is 0, so we can begin summing at
.
For
or
,
we can expand the
as
Now re-group to fit the binomial theorem, since that was the summation
technique used to show
and to derive
.

Let
in the sum, giving

Then
Remember that the variance of a binomial distribution is
,
since we'll be using it later in the
course.
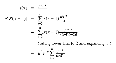
Example: (Variance of Poisson distribution) Find the variance of the Poisson distribution.
Solution:
Let
in the sum, giving

(that is, for the Poisson, the variance equals the
mean.)
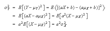
Properties of Mean and Variance
If
and
are constants and
,
then
(where
and
are the mean and variance of
and
and
are the mean and variance of
).
Proof:
We already showed that
.
i.e.
,
and then
This result is to be expected. Adding a constant,
,
to all values of
has no effect on the amount of variability. So it makes sense that Var
doesn't depend on the value of
.
A simple way to relate to this result is to consider a random variable
which represents a temperature in degrees Celsius (even though this is a
continuous random variable which we don't study until Chapter 9). Now let
be the corresponding temperature in degrees Fahrenheit. We know that
and it is clear if we think about it that
and that
.
An airline knows that there is a 97% chance a passenger for a certain flight will show up, and assumes passengers arrive independently of each other. Tickets cost $100, but if a passenger shows up and can't be carried on the flight the airline has to refund the $100 and pay a penalty of $400 to each such passenger. How many tickets should they sell for a plane with 120 seats to maximize their expected ticket revenues after paying any penalty charges? Assume ticket holders who don't show up get a full refund for their unused ticket.
A typist typing at a constant speed of 60 words per minute makes a mistake in any particular word with probability .04, independently from word to word. Each incorrect word must be corrected; a task which takes 15 seconds per word.
Find the mean and variance of the time (in seconds) taken to finish a 450 word passage.
Would it be less time consuming, on average, to type at 45 words per minute if this reduces the probability of an error to .02?
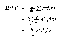
We have now seen two functions which characterize a distribution, the probability function and the cumulative distribution function. There is a third type of function, the moment generating function, which uniquely determines a distribution. The moment generating function is closely related to other transforms used in mathematics, the Laplace and Fourier transforms.
Consider a discrete random variable
with probability function
.
The moment generating function (m.g.f.) of
is defined as
assuming that this sum exists.
The moments of a random variable
are the expectations of the functions
for
.
The expectation
is called
moment of
.
The mean
is therefore the first moment,
the second and so on. It is often easy to find the moments of a probability
distribution mathematically by using the moment generating function. This
often gives easier derivations of means and variances than the direct
summation methods in the preceding section. The following theorem gives a
useful property of m.g.f.'s.
Let the random variable
have m.g.f.
.
Then
where
stands for
evaluated at
.
Proof:
and if the sum converges, then
,
as stated.
This sometimes gives a simple way to find the moments for a distribution.
Example 1.


and
so
From this we can also find
Exercise. Poisson distribution
Show that the Poisson distribution with probability function
has m.g.f.
.
Then show that
and
.
The m.g.f. also uniquely
identifies a distribution in the sense that two different distributions cannot
have the same m.g.f. This result is often used to find the distribution of a
random variable.
The other feature of the moment generating function that is often used is that
it can be used to identify a given distribution. If two random variables have
the same moment generating function, they have the same distribution (so the
same probability function, cumulative distribution function, moments, etc.)
But in fact moment generating functions can also be used to determine that a
sequence of distributions gets closer and closer to some limiting
distribution. To show this, suppose that a sequence of probability functions
have corresponding moment generating functions
Suppose moreover that the probability functions
converge to another probability function
pointwise in
as
.
This is what we mean by convergence of discrete distributions. Then since
which says that
converges to
the moment generating function of the limiting distribution. It shouldn't be
too surprising that a very useful converse to this result also holds:
Suppose
has moment generating function
and
for each
such that
For example we saw in Chapter 6 that a
Binomial
distribution with very large
and very small
is close to a Poisson distribution with parameter
Consider the moment generating function of such a binomial random
variable
Now consider the limit of this expression as
Since in general
the limit of (binmgf) as
is
and this is the moment generating function of a Poisson distribution with
parameter
This shows a little more formally than we did earlier that the
binomial
distribution with
approaches the
Poisson(
)
distribution as
Let
have probability function
Find the mean and variance for
.
A game is played where a fair coin is tossed until the first tail occurs. The
probability
tosses will be needed is
.
You win
if
tosses are needed for
but lose $256 if
.
Determine your expected winnings.
Diagnostic tests. Consider diagnostic tests like those discussed above in the
example of Section 7.3 and in Problem 15 for Chapter 4. Assume that for a
randomly selected person,
,
,
,
so that the inexpensive test only gives false positive, and not false
negative, results.
Suppose that this inexpensive test costs $10. If a
person tests positive then they are also given a more expensive test, costing
$100, which correctly identifies all persons with the disease. What is the
expected cost per person if a population is tested for the disease using the
inexpensive test followed, if necessary, by the expensive test?
Diagnostic tests II. Two percent of the population has a certain condition for which there are two diagnostic tests. Test A, which costs $1 per person, gives positive results for 80% of persons with the condition and for 5% of persons without the condition. Test B, which costs $100 per person, gives positive results for all persons with the condition and negative results for all persons without it.
Suppose that test B is given to 150 persons, at a cost of $15,000. How many cases of the condition would one expect to detect?
Suppose that 2000 persons are given test A, and then only those who test positive are given test B. Show that the expected cost is $15,000 but that the expected number of cases detected is much larger than in part (a).
The probability that a roulette wheel stops on a red number is 18/37. For each bet on ``red'' you win the amount bet if the wheel stops on a red number, and lose your money if it does not.
If you bet $1 on each of 10 consecutive plays, what is your expected winnings? What is your expected winnings if you bet $10 on a single play?
For each of the two cases in part (a), calculate the probability that you made a profit (that is, your ``winnings'' are positive, not negative).
Slot machines. Consider the slot machine discussed above in Problem 16 for Chapter 4. Suppose that the number of each type of symbol on wheels 1, 2 and 3 is as given below:
![]() |
Wheel | |||
| Symbols | 1 | 2 | 3 | |
| Flower | 2 | 6 | 2 | |
| Dog | 4 | 3 | 3 | |
| House | 4 | 1 | 5 | |
If all three wheels stop on a flower, you win $20 for a $1 bet. If all three wheels stop on a dog, you win $10, and if all three stop on a house, you win $5. Otherwise you win nothing.
Find your expected winnings per dollar spent.
Suppose that
people take a blood test for a disease, where each person has probability
of having the disease, independent of other persons. To save time and money,
blood samples from
people are pooled and analyzed together. If none of the
persons has the disease then the test will be negative, but otherwise it will
be positive. If the pooled test is positive then each of the
persons is tested separately (so
tests are done in that case).
Let
be the number of tests required for a group of
people. Show that
What is the expected number of tests required for
groups of
people each? If
,
evaluate this for the cases
.
Show that if
is small, the expected number of tests in part (b) is approximately
,
and is minimized for
.
A manufacturer of car radios ships them to retailers in cartons of
radios. The profit per radio is $59.50, less shipping cost of $25 per carton,
so the profit is $
per carton. To promote sales by assuring high quality, the manufacturer
promises to pay the retailer
if
radios in the carton are defective. (The retailer is then responsible for
repairing any defective radios.) Suppose radios are produced independently and
that 5% of radios are defective. How many radios should be packed per carton
to maximize expected net profit per carton?
Let
have a geometric distribution with probability
function
Calculate the m.g.f.
,
where
is a parameter.
Find the mean and variance of
.
Use your result in (b) to show that if
is the probability of ``success''
(
)
in a sequence of Bernoulli trials, then the expected number of trials until
the first
occurs is
.
Explain why this is ``obvious''.
Analysis of Algorithms: Quicksort. Suppose we have a set
of distinct numbers and we wish to sort them from smallest to largest. The
quicksort algorithm works as follows: When
it just compares the numbers and puts the smallest one first. For
it starts by choosing a random "pivot" number from the
numbers. It then compares each of the other
numbers with the pivot and divides them into groups
(numbers smaller than the pivot) and
( numbers bigger than the pivot). It then does the same thing with
and
as it did with
,
and repeats this recursively until the numbers are all sorted. (Try this out
with, say
numbers to see how it works.) In computer science it is common to analyze such
algorithms by finding the expected number of comparisons (or other operations)
needed to sort a list. Thus, let
Show that if
is the number of comparisons needed,
Show that
and thus that
satisfies the recursion (note
)
Show that
(Harder) Use the result of part (c) to show that for large
,
(Note:
means
as
)
This proves a result from computer science which says that for Quicksort,
.
Find the distributions that corresponds to the following moment-generating
functions:
(a)
(b)
Find the moment generating function of the discrete uniform distribution
on
;
What do you get in the special case
and in the case
Use the moment generating function in these two cases to confirm the expected
value and the variance of
Let
be a random variable taking values in the set
with moments
,
Find the moment generating function of
Find the first six moments of
Find
Show that any probability distribution on
is completely determined by its first two moments.