5. Review of Useful Series and Sums

The preceding chapters have introduced ways to calculate the probabilities of random events, based on various assumptions. You may have noticed that many of the problems you've encountered are actually similar, despite the contexts being different. Our approach in the next few chapters will be to classify some of these common types of problems and develop general methods for handling them. Rather than working each problem out as if we'd never seen one like it before, our emphasis will now shift to checking whether the problem is one of these general types.

Series and Sums

Before starting on the probability models of the next chapter, it's worth reviewing some useful results for series, and for summing certain series algebraically. We'll be making use of them in the next few chapters, and many, such as the geometric series, have already been used.

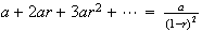
  1. Geometric Series: MATH If $|r|<1$, then MATH

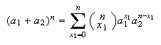
  2. Binomial Theorem: There are various forms of this theorem. We'll use the form MATH In a more general version, when $n$ is not a positive integer, MATH (We have already defined $\binom{n}{x}$ when $n$ is not a positive integer.) While the binomial theorem may not look like a summation result, we'll use it to evaluate series of the form MATH.

  3. Multinomial Theorem: A generalization of the binomial theorem is MATH with the summation over all MATH with $\sum x_{i}=n$. The case $k=2$ gives the binomial theorem in the form MATH .

  4. Hypergeometric Identity: MATH There will not be an infinite number of terms if a and b are positive integers since the terms become 0 eventually. For example MATH

    Sketch of Proof: MATH Expand each term by the binomial theorem and equate the coefficients of $y^{n}$ on each side.

  5. Exponential series: MATH (Recall, also thatMATH

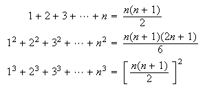
  6. Special series involving integers:MATH

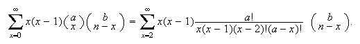
Example: Find MATH

Solution: For $x=0$ or 1 the term becomes 0, so we can start summing at $x=2$. For $x\geq2$, we can expand $x!$ as $x(x-1)(x-2)!$ MATH Cancel the $x(x-1)$ terms and try to re-group the factorial terms as "something choose something". MATH ThenMATH Factor out $a(a-1)$ and let $y=x-2$ to getMATH by the hypergeometric identity.

Problems on Chapter 5

(Solutions to 5.1 and 5.2 are given in Chapter 10.)

  1. Show thatMATH (use the binomial theorem).

  2. I have a quarter which turns up heads with probability 0.6, and a fair dime. Both coins are tossed simultaneously and independently until at least one shows heads. Find the probability that both the dime and the quarter show heads at the same time.

  3. Some other summation formulas can be obtained by differentiating the above equations on both sides. Show that MATH by starting with the geometric series formula. Assume $|r|<1$.

  4. Players $A$ and $B$ decide to play chess until one of them wins. Assume games are independent with $P(A$ wins) = .3, $P(B$ wins) = .25 and $P$(draw) = .45 on each game. If the game ends in a draw another game will be played. Find the probability $A$ wins before $B$.