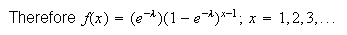
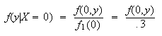
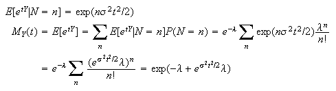
Each student can choose in 4 ways and they each get to choose. So
has
points.
The first student can choose in 4 ways and the others then only have 1 section
they can go in.
.
The first to pick has 4 ways to choose, the next has 3 sections left, and the
last has 2 sections left.
(different sections) =
.
Each has 3 ways to choose a section.
(nobody in section 1) =
Now
has
points
(all in same section) =
(different sections) =
.
(nobody in section 1) =
There are 26 ways to choose each of the 3 letters, so in all the letters can
be chosen in
ways. If all letters are the same, there are 26 ways to choose the first
letter, and only 1 way to choose the remaining 2 letters. So
(all letters the same) is
.
There are
ways to choose the 3 digits. The number of ways to choose all even digits is
.
The number of ways to choose all odd digits is
.
(all even or all odd) =
.
There are 35 symbols in all (26 letters + 9 numbers). The number of different
6-symbol passwords is
(we need to subtract off the
arrangements in which only letters are used, since there must be at least one
number). Similarly, we get the number of 7-symbol and 8-symbol passwords as
and
.
The total number of possible passwords is then
Let
be the answer to part (a) (the total no. of possible passwords). Assuming you
never try the same password twice, the probability you find the correct
password within the first 1,000 tries is
.
There are 7! different orders
We can stick the even digits together in 3! orders. This block of even digits
plus the 4 odd digits can be arranged in 5! orders.
(even together) =
For even at ends, there are 3 ways to fill the first place, and 2 ways to fill
the last place and 5! ways to arrange the middle 5 digits. For odd at ends
there are 4 ways to fill the first place and 3 ways to fill the last place and
5! ways to arrange the middle 5 digits.
(even or odd ends) =
.
The number of arrangements in
is
at each end gives
arrangements of the middle 7 letters.
at each end gives
arrangements of the middle 7 letters.
(same letter at ends) =
The
and
can be ``stuck'' together in
ways to form a single unit. We can then arrange the
's,
's,
,
and
in
ways.
together)
=
.
There is only 1 way to arrange the letters in the order CEEELLNTX.
(alphabetical order) =
The 8 cars can be chosen in
ways. We can choose
with faulty emission controls and
with good ones in
ways.
(at least 3 faulty) =
since we need
= 3 or 4 or .... or 8.
This assumes all
combinations are equally likely. This assumption probably doesn't hold since
the inspector would tend to select older cars or those in bad shape.
The first 6 finishes can be chosen in
ways. Choose 4 from numbers
1,2, ...., 9 in
ways and 2 from numbers 10, ..., 15 in
ways.
(4 single digits in top 6) =
.
Need 2 single digits and 2 double digit numbers in
1
4 and then a single digit. This occurs in
ways.
(5
is
single digit) =
.
(since we can choose
4 in
ways and then have 11 choices for the
)
Alternate Solution: There are
ways to choose the first 5 in order. We can choose in order, 2 double digit
and 3 single digit finishers in
ways, and then choose which 2 of the first 4 places have double digit numbers
in
ways.
(
is
single digit)
=
.
Choose 13 in 1 way and the other 6 numbers in
ways. (from 1,2, ....., 12).
(13 is highest) =
.
Alternate Solution: From the
ways to choose 7 numbers from 1,2, ..., 13 subtract the
which don't include 13 (i.e. all 7 chosen from 1,2, ..., 12).
(13 is highest) =
Let
and
,
and draw yourself a Venn diagram. Then
(Note that the information that 40% of days with temp
have no rain is not needed to solve the question).
This result is to be expected since 80% of days have a high temperature
and 30% of these days have rain.


See the Figure
below:

The
region outside the circles represents females to the right. To make
.
we need
.
is the largest value, and this occurs when
.
Since
is contained within both
and
we know
and
.
Thus
iff
.
While
and
could be mutually exclusive, it can't be determined for sure.
Alternatively, (look at a Venn diagram),
is a partition, so
.
Points giving a total of 9 are: (3,6), (4,5), (5,4) and (6,3). The
probabilities are (.1)(.3) = .03 for (3,6) and for (6,3), and (.2)(.2) = .04
for (4,5) and for (5,4).
(3, 6) or (4, 5) or (5, 4) or (6, 3)) = .03 + .04 + .04 + .03 = .14.
There are
arrangements with 1 nine and 3 non-nines. Each arrangement has probability
.
(nine on 1 of 4 repetitions) =
Let
= {at least 1 woman} and
= {at least 1 French speaking
student}.
Venn diagram, Problem
4.3.2
But
(no woman and no French speaking
student)
(all men who don't speak
French)
(woman who speaks French)
=
(woman)P(French\woman)=
.
P(woman who speaks
french)
From Venn diagram,
(man without French) =
.49.
.
From a Venn diagram: (1)
(2)






and
are independent iff
and
are independent.
Let
=
and
=
.
Let
=
and
=
Let
= { defective headlights},
= {defective muffler}

Differentiate
with respect to
on both
sides:
.
Multiply by
to get

Let
.
Then

Multiply
by
:
Let
= {heads on quarter} and
={heads on dime}. Then
We need
and



But if
we have
... impossible.
We are arranging
where
= {you},
= {friend}, O = {other}. There are
distinct arrangements.
: |
has 4 arrangements with
first and 4 with
first. |
: |
has 3 arrangements with
first and 3 with
first. |
: |
has 2 with
first and 2 with
. |
: |
has 1 with
first and 1 with
. |
![]() |
0 | 1 | 2 | 3 |
![]() |
.4 | .3 | .2 | .1 |
![]() |
.4 | .7 | .9 | 1 |


Using the hypergeometric distribution,
While we could find none tainted if
is as big as 3, it is not likely to happen.
This implies the box is not
likely to have as many as 3 tainted tins.
Considering order, there are
points in
.
We can choose which
of the
selections will have "success" in
ways. We can arrange the
"successes" in their selected positions in
ways and the
"failures" in the remaining positions in
ways.
with
ranging from max
to min
Using hypergeometric, with
,
Using binomial as an approximation,
(fail twice)
=
(fail twice
)
+
(fail twice
)
=
.
Where
= { camera
is picked }
and
= { camera
is picked }
This assumes shots are independent with a constant failure probability.
failed twice) =
We need
"failures" before our 25th "success".
In the first
selections we need to get
defective (use hypergeometric distribution) and then we need a good one on the
draw.
Since 2500 is large and we're only choosing a few of them, we can approximate
the hypergeometric portion of
using binomial
Using geometric,




At least 9.4 cars means 10 or more cars must be checked
Let
be the number who don't show. Then


(To use a Poisson approximation we need
near
.
That is why we defined "success" as not showing up).
For Poisson,
Binomial requires all passengers to be independent as to showing up for the flight, and that each passenger has the same probability of showing up. Passengers are not likely independent since people from the same family or company are likely to all show up or all not show. Even strangers arriving on an earlier incoming flight would not miss their flight independently if the flight was delayed. Passengers may all have roughly the same probability of showing up, but even this is suspect. People travelling in different fare categories or in different classes (e.g. charter fares versus first class) may have different probabilities of showing up.

Note this is a binomial probability function.
Assuming the conditions for a Poisson process are met, with lines as units of ``time":
per line;
line;
Consider a 1 minute period with no occurrences as a ``success''. Then
has a geometric distribution. The probability of ``success'' is

(There must be
failures before the first success.)
,
using a geometric distribution
Using a binomial distribution
Approximate by Poisson with
(
large,
small)
Thus,
.
There are 10 tickets with all digits identical. For these there is only 1
prize. There are
ways to pick a digit to occur twice and a different digit to occur once. These
can be arranged in
different orders; i.e. there are 270 tickets for which 3 prizes are paid.
There are
ways to pick 3 different digits in order. For each of these 720 tickets there
will be 3! prizes paid.
The organization takes in $1,000.

i.e., on average they lose $28.
Let them sell
tickets. Suppose
show up. Then
.
For binomial,
If
,
revenues will be
,
and
.
This is maximized for
.
Max. expected revenue is $11,640.
For
,
revenues are
,
less $500 if all 121 show up.
i.e.,
= $11,724.46 is expected.
For
,
revenues are
,
less $500 if 121 show up, less $1000 if all 122 show.
i.e.,
is expected.
For
,
revenues are
,
less $500 if 121 show, less $1,000 if 122 show, less $1500 if all 123 show.
i.e.
is expected.
They should sell 122 tickets.
Let
be the number of words needing correction and let
be the time to type the passage. Then
and
.
has mean
and variance
.
Var
=
Var
Var
.
At 45 words per minute, each word takes
seconds.
and
,
so it takes longer on average.
The marginal probability functions are:
Since
and
are not independent.
e.g.
(e.g.
)

(
starts at
no. of calls
no. of sales).


using the given identity on
.
(
has a negative binomial distribution)
Use a multinomial distribution.
Group
's
and
's
into a single category.
Of the 21 non
's
we need
's,
's
and
's.
The (conditional) probabilities for the
non-
's
are: 1/8 for
,
4/8 for
,
and
for
.
(e.g.
.
(fewer than 5 chips) =
(more than 9 chips) =
Given that 7 have
9 chips, the remaining 5 are of 2 types - under 5 chips, or 5 to 9 chips
Using a binomial distribution,
(3 under
5
7
over 9) =

While
indicates
and
may be independent (and indeed are in this case), it does not prove that they
are independent. It only indicates that there is no linear relationship
between
and
.
![]() |
2 | 4 | 6 |
![]() |
3/8 | 3/8 | 1/4 |
![]() |
-1 | 1 |
![]() |
![]() |
![]() |
Cov
Therefore
If
and
are independent then
Cov
,
and so
must be 5/72. But if
then
and
cannot be independent for any value of





Let



Pairs are independent if they have no common points, but may not be
independent if the pairs are adjacent.












Also,
for
and

Using
as
defined,
since

since only 1 cut is
needed
since 2 cuts are
needed.
Var
=
Var
Var
=
Var
=
Var
Cov
if
since there are no common pieces and cuts are
independent.
(product
is 0 if either
or
is a
0)

Var
Var
Cov


s.d.
;

Let
be the median. Then

and so the median is 1
.
If
is a random number between
and
,
then
For
we get
Let the time to disruption be
.
.
Take natural logs.
hours.
(distance
)
=
(distance
)
=
(0 flaws or 1 flaw within radius
)
The
number of flaws has a Poisson distribution with mean


Let
.
Then
,
so


.
\begin{tabbing}
= \=~~ $P ( - .8 < Z < 1.1 )$ \\ = \> $ F (1.1) - F (-.8)$ \\ = \> $F (1.1)
- [ 1 - F (.8) ]$ \\ = \> $.8643 - (1 - .7881 ) = .6524$
\end{tabbing}
(see the
figure)

(see the figure)
(about 2/3)
(about 95%)
Similarly,
(over 99%)







.
Take
observations.
Let
be the number germinating.
Then
.
.
(see the
figure)

Approximate
using a normal distribution with
and
.
Possible variations on this solution include calculating
as
and realizing that
means
.
However
so we get the same answer as before.
Let
be the cost associated with inspecting part




By
the central limit
theorem
approx.
Since
increases in $10
increments,
\setcounter{figure}{0}
11. Answers to End of Chapter ProblemsChapter 2:
Label the profs
and
.
1/4
(b)
;
(1,2), (1,3), (1,4), (1,5), (2,3), (2,4), (2,5), (3,4), (3,5), (4,5); 0.4;
(b)
(c)
.018 (b) .020 (c) 18/78 = .231
.978
Chapter 3:
(a) 4/7
(b) 5/42
(c) 5/21;
(a) (i)
(ii)

(b)
All
outcomes are equally likely. That is, all
floors are equally likely to be selected, and each passenger's selection is
unrelated to each other person's selection. Both assumptions are doubtful
since people may be travelling together (e.g. same family) and the floors may
not have equal traffic (e.g. more likely to use the stairs for going up 1
floor than for 10 floors);
(a) 5/18
(b) 5/72;
(a) 1/50,400
(b) 7/45;
(a) 1/6 (b) 0.12;
Values for
and 60 are .589, .109 and .006.
(a)
(b)
(a) (i) .0006 (ii) .0024 (b)
(a)
(b) 15
(a)
(b)
(c)
(d)
Chapter 4:
4.1 .75, .6, .65, 0, 1, .35, 1
4.2
-
.01,
- .72,
-
,
-
,
-
4.3
4.4 (a) 0.0576 (b) 0.4305 (c) 0.0168 (d) 0.5287
4.5 .44
4.6 0.7354
4.7 (a) .3087
(b) .1852;
4.9 .342
4.10 (a) .1225, .175 (b) .395
4.11
4.14 (a)
(b)
(c)
4.15 .9, .061, .078
4.16 (a) .024 (b) 8 on any one wheel and 1 on the others
4.17 (a) .995 and .005 (b) .001
4.18 (a) .99995 (b) .99889 (c\)
4.19 (a)
;
(b) 2.1%
Chapter 5:
5.4 .545
Chapter 6:
6.1 (a) .623, .251; for males, .408, .103 (b) .166
6.2 (a)
(b)
6.4
6.5 (a) .0800 (b) .171 (c) .00725
6.6 (a) .010 (b) .864
6.7
(a)
(b)
(c) .0176
6.8 0.9989
6.9 (a) .0758 (b) .0488 (c)
(d)
6.10 (a) .0769 (b) 0.2019; 0.4751
6.11 (a) 0.2753 (b) 0.1966 (c) 0.0215
6.12 (b) enables us to approximate hypergeometric distribution by binomial
distribution when
is large and
near 0.
6.13 (a)
(b) (Could probably argue for other answers also). Budworms probably aren't
distributed at a uniform rate over the forest and may not occur singly
6.14 (a) .2048 (b) .0734 (c) .428 (d) .1404
6.15
6.16 (a) .004264; .006669 (b) .0032 (c) (i)
(ii)
On the first 1399 attempts we essentially have a binomial distribution
with
(large) and
(near
)
6.17 (a)
(b)
bubbles per
6.18
6.19 (a)
(b)
(c)
(d)
for
6.20 (a) .555 (b) .809; .965 (c) .789; .946 (d)
6.21 (a)
(b) .002, .051, .350, .797 (c)
Chapter
7:
7.1 2.775; 2.574375
7.2 -$3
7.3 $16.90
7.4 (a) 3 cases (b) 32 cases
7.5 (a) - 10/37 dollars in both cases (b) .3442; 0.4865
7.6 $.94
7.7 (b)
,
which gives
for
7.8 50
7.9 (a)
;
(b)
7.11 (a) Expand
in a power series in powers of
i.e.
Then
coefficient
of
(b) Similarly
Then
Chapter 8:
8.1 (a) no
(b) 0.3 and 1/3
8.2 (a) mean = 0.15, variance = 0.15
8.3 (a) No (b) 0.978 (c) .05
8.4 (a)
(b)
8.5 (b) - .10 dollars (c)
8.7
;
(b) note e.g. that
,
but
8.8 (a)
and
(b)
;
(c) 49/120 and 1/2
8.9 (a)
(b)
(c)

(d)
8.10 (b) .468
8.11 (a)
(b)
(c)
8.12 (a) 1.76 (b)
8.13 (a) Multinomial (b) .4602 (c) $5700
8.15 207.867
8.16 (a)
(b)
and
(c)
8.17 (a)
(b)
0
(c) no. e.g.
and
8.19 -1
8.20 (a) 1.22 (b) 17.67%
8.21
The transition matrix is
from which, solving
and rescaling so that the sum of the probabilities is one, we obtain
the long run fraction of time spent in cities A,B,C respectively.
By arguments similar to those in section 8.3, the limiting matrix has rows
all identically
where the vector
are the stationary probabilities satisfying
and
The solution is
and the limit is
With
and since this is the MGF of a
Poisson(
distribution, this must be the distribution of
If today is raining, the probability of Rain, Nice, Snow three days from now
is obtainable from the first row of the matrix
i.e.
The
probabilities of the three states in five days, given (1) today is raining
(ii) today is nice (iii) today is snowing are the three rows of the matrix
In this case call rows are identical to three decimals; they are all equal the
equilibrium distribution
If a>b, and both parties raise then the probability
B wins is
and the probability A wins is 1 minus this or
.
If
then the probability A wins is
In the special case b=1, the expected winnings of A
are
For a=1,2,...,13 this gives expected winnings of
0, 0.38462, 0.69231, 0.92308, 1.0769, 1.1538, 1.1538, 1.0769,
0.92308, 0.69231, 0.38462, 0, -0.46154 respectively, maximum for
a=6 or 7.
By a similar calculation as in part (b), A's possible winnings per game for a=1,2,...,13 are, respectively, -0.38462, -0.34615, -0.30769, -0.26923, -0.23077, -0.19231, -0.15385, -0.11538, -0.076923, -0.038462, 0, 0, -0.076923. There is no strategy that provides a positive expected return. The optimal is the break-even strategy a=11 or 12. (Note: in this two-person zero-sum game, a= 11 or 12 and b=11 or 12 is a minimax solution)
Show that you can determine the probability of the various values of
knowing only the state
(and without knowing the previous states).
For example the long-run probability of the state
is, with
The probability that record
is in position
is, with
respectively. The expected cost of accessing a record in the long run is
Substitute
so
and
and (q8.28) is 1.7214.
If they are in random order, the expected
cost
If they are ordered in terms of decreasing
expected cost is
Chapter 9:
9.1
for
9.2 (a)

(b) Find
such that
.
This gives
9.3 (a) 1/2, 1/24 (b) 0.2828 (c) 0.2043
9.4
9.5 (a)
(b)
0.5
(c)
9.6 (a)
(b)
9.7
9.8 (a) .0668, .2417, .3829, .2417, .0668 (b) .0062 (c) .0771
9.9 (a) .5 (b)
9.10 .4134
9.11 (a) .3868 (b) .6083 (c) 6.94
9.12 (a) .0062 (b) .9927
9.13 (a) .2327, .1841 (b) .8212, .8665; Guess if
,
don't guess if
9.14 6.092 cents
9.15 574
9.16 (a) 7.6478, 88.7630 (b) 764.78, 8876.30, people within pooled samples are independent and each pooled sample is independent of each other pooled sample. (c) 0.3520
9.17 .5969
9.18 (a) .6728 (b) 250,088
9.19 (a)
(b)
(using table) for
The more you play, the smaller your chance of winning. (c)
1264.51
With probability .99 the casino's profit is at least $1264.51.
9.20 (a)
is approximately
(b)
(i)
(ii)
9.21 (a) (i) .202 (ii) .106 (b) .045, .048
9.22 (a) False positive probabilities are .048, .091, .023 for (i), (ii), (iii). False negative probabilities are .023, .091, .048.
Let
total
change over day. Given
has a
Normal
distribution and therefore
Not a MGF in this course at least. The mean is
and the variance is
| Discrete | ||||||||||
|
|
Mean | Variance |
|
||||||
![]() |
![]() |
![]() |
![]() |
![]() |
||||||
|
![]() |
![]() |
![]() |
![]() |
||||||
|
![]() |
![]() |
![]() |
![]() |
||||||
|
![]() |
![]() |
![]() |
![]() |
||||||
|
![]() |
![]() |
![]() |
intractible | ||||||
Poisson![]() |
![]() |
![]() |
![]() |
![]() |
||||||
| Continuous |
|
Mean | Variance |
|
||||||
|
![]() |
![]() |
![]() |
![]() |
||||||
|
![]() |
![]() |
![]() |
![]() |
||||||
|
![]() |
![]() |
![]() |
![]() |