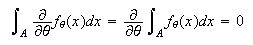
Appendix B: Statistics
The material in this appendix can be supplemented with the classic text in statistics: The Theory of Point Estimation Wiley, New York by E. Lehmann (1983).
In statistics, we often represent our data, in many cases a sample of size
from some population as a random vector
.
The model, can be written in the form
where
is the parameter space or set of permissible values of the parameter
and
is the probability density function. A statistic,
is a function of the data which does not depend on the unknown parameter
.
Although a statistic,
is not a function of
,
its distribution can depend on
An estimator is a statistic considered for the purpose of estimating a given
parameter. One of our objectives is to find a ``good'' estimator of
the parameter
,
in some sense of the word ``good''. How do we ensure that a statistic
is estimating the correct parameter and not consistently too large or too
small, and that as much variability as possible has been removed? The problem
of estimating the correct parameter is often dealt with by requiring that the
estimator be unbiased.
We will denote an expected value under the assumed parameter value
by
.
Thus, in the continuous case
and in the discrete case
provided the integral/sum converges absolutely. In the discrete case,
the probability function of
under this parameter value
A statistic
is an unbiased estimator of
if
for all
.
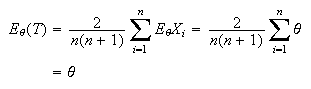
For example suppose that
are independent, each with the Poisson distribution with parameter
.
Notice that the statistic
is such
that
and so
is an unbiased estimator of
This means that it is centered in the correct place, but does not mean it is a
best estimator in any sense.
In Decision Theory, in order to determine whether a given estimator
or statistic
does well for estimating
we consider a loss function or distance function between the estimator and the
true value. Call this
.
Then this is averaged over all possible values of the data to obtain the risk:
A good estimator is one with little risk, a bad estimator is one whose risk is
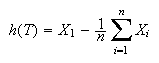
high. One particular risk function is called mean squared error
(M.S.E.) and corresponds to
.
The mean squared error has a useful decomposition into two components the
variance of the estimator and the square of its bias:
For example, if
has a
Normal
distribution, the mean squared error of
is 1 for all
because the bias
is zero. On the other hand the estimator
has bias
and variance
so the mean squared error is
Obviously
has smaller mean squared error provided that
is
around 0 (more precisely provided
,
but for
large,
is preferable. Of these two estimators, only
is unbiased.
In general, in fact, there is usually no one estimator which outperforms all other estimators at all values of the parameter if we use mean squared error as our basis for comparison. In order to achieve an optimal estimator, it is unfortunately necessary to restrict ourselves to a specific class of estimators and select the best within the class. Of course, the best within this class will only be as good as the class itself (best in a class of one is not much of a recommendation), and therefore we must ensure that restricting ourselves to this class is not unduly restrictive. The class of all estimators is usually too large to obtain a meaningful solution. One common restriction is to the class of all unbiased estimators.
An estimator
is said to be a uniformly minimum variance unbiased estimator
(U.M.V.U.E.) of the parameter
if
(i) it is an unbiased estimator of
and
(ii) among all unbiased estimators of
it has the smallest mean squared error and therefore the smallest variance.
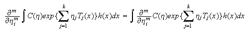
A sufficient statistic is one that, from a certain perspective, contains all the necessary information for making inferences (e.g. estimating the parameter with a point estimator or confidence interval, conducting a test of a hypothesized value) about the unknown parameters in a given model. It is important to remember that a statistic is sufficient for inference on a specific parameter. It does not necessary contain all relevant information in the data for other inferences. For example if you wished to test whether the family of distributions is an adequate fit to the data ( a goodness of fit test) the sufficient statistic for the parameter in the model does not contain the relevant information.
Suppose the data is in a vector
and
is a sufficient statistic for
.
The intuitive basis for sufficiency is that if the conditional distribution of
given
does not depend on
,
then
provides no additional value in addition to
for estimating
.
The assumption is that random variables carry information on a statistical
parameter
only insofar as their distributions (or conditional distributions) change with
the value of the parameter and that since, given
we can randomly generate at random values for the
without knowledge of the parameter and with the correct distribution, these
randomly generated values cannot carry additional information. All of this, of
course, assumes that the model is correct and
is the only unknown. The distribution of
given a sufficient statistic
will often have value for other purposes, such as measuring the variability of
the estimator or testing the validity of the model.
A statistic
is sufficient for a statistical model
if the distribution of the data
given
does not depend on the unknown parameter
.
The use of a sufficient statistic is formalized in the The
Sufficiency Principle, which states that if
is a sufficient statistic for a model
and
are two different possible observations that have identical values of the
sufficient statistic:
then whatever inference we would draw from observing
we should draw exactly the same inference from
.
Sufficient statistics are not unique. For example if the
sample mean
is a sufficient statistic, then any other statistic, that allows us to obtain
is also sufficient. This will include all one-to-one functions of
(these are essentially equivalent) like
and all statistics
for which we can write
for some, possibly many-to-one function
.
One result which is normally used to verify whether a given statistic is
sufficient is the Factorization Criterion for Sufficiency:
Suppose
has probability density function
and
is a statistic. Then
is a sufficient statistic for
if and only if there exist two non--negative functions
and
so that we can factor the probability density function
for all
This factorization into two pieces, one which involves both the statistic
and the unknown parameter
and the other which may be a constant or depend on
but does not depend on the unknown parameter, need only hold on a set
of possible values of
which carries the full probability. That is for some set
with
for all
,
we require
A statistic
is a minimal sufficient statistic for
if it is sufficient and if for any other sufficient statistic
,
there exists a function
such that
.
This definition says in effect that a minimal sufficient statistic can be
recovered from any other sufficient statistic. A statistic
implicitly partitions the sample space into events of the form
for varying
and if
is minimal sufficient, it induces the coarsest possible partition (i.e. the
largest possible sets) in the sample space among all sufficient statistics.
This partition is called the minimal sufficient partition.
The property of completeness is one which is useful for determining
the uniqueness of estimators and verifying in some cases that a minimal
sufficient reduction has been found. It bears no relation to the notion of a
complete market in Finance, or the mathematical notion of a complete metric
space. Let
denote the observations from a distribution with probability density function
.
Suppose
is a statistic and
,
a function of
,
is an unbiased estimator of
so that
.
Under what circumstances is this the only unbiased estimator which is a
function of
?
To answer this question, suppose
and
are both unbiased estimators of
and consider the difference
.
Since
and
are both unbiased estimators of the parameter
we have
for all
.
Now if the only function
which satisfies
for all
is the zero function
,
then the two unbiased estimators must be identical. A statistic
with this property is said to be complete. Technically it is not the
statistic that is complete, but the family of distributions of
in the model
The statistic
is complete if
for any function
implies
For example, let
be a random sample from the
Normal
distribution. Consider
.
Then
is sufficient for
but is not complete. It is easy to see that it is not complete, because the
function
is a function of
which has zero expectation for all values of
and yet the function is not identically zero. The fact that the statistic
is sufficient but not complete is a hint that further reduction is possible,
that it is not minimal sufficient. In fact in this case, as we will show a
little later, taking only the second component of
namely
provides a minimal sufficient, complete statistic.
If
is a complete and sufficient statistic for the model
,
then
is a minimal sufficient statistic for the model.
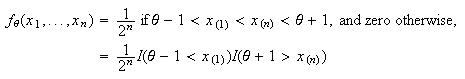
The converse to the above theorem is not true. Let
be a random sample from the continuous uniform distribution on the interval
.
This distribution has probability density function
Then using the factorization criterion above, the joint probability density
function for a sample of
independent observations from this density is
where
is one or zero as the inequality holds or does not hold and
are the smallest and the largest values in the sample
Obviously
can be written as a function
where
and so
is sufficient. Moreover it is not difficult to show that no further reduction
(for example to
alone) is possible or we can not longer provide such a factorization, so
us minimal sufficient. Nevertheless, if
and the function
is defined by
(clearly a non-zero function) then
for all
and therefore
is not a complete statistic.
For any random variables
and
,
and
In much of what follows, we wish to be able to estimate a general
function of the unknown parameter like
instead of the parameter
itself. We have already seen that if
is a complete statistic, then there is at most one function of
that provides an unbiased estimator of any function of a given
In fact if we can find such a function,
then it automatically has minimum variance among all possible unbiased
estimators of
that are based on the same data.
If
is a complete sufficient statistic for the model
and
,
then
is the U.M.V.U.E. of
.
When we have a complete sufficient statistic, and we are able to find an
unbiased estimator, even a bad one, of
then there is a simple recipe for determining the U.M.V.U.E. of
If
is a complete sufficient statistic for the model
and
is any unbiased estimator of
,
then
is the U.M.V.U.E. of
.
Note that we did not subscript the conditional expectation
with
because whenever
is a sufficient statistic, the conditional distribution of
given
does not depend on the underlying value of the parameter
Suppose
has a (joint) probability density function of the form
for functions
.
Then we say that the density is a member of the exponential family of
densities. We call
the natural sufficient statistic.
A member of the exponential family could be re-expressed in different ways and
so the natural sufficient statistic is not unique. For example we may multiply
a given
by a constant and divide the corresponding
by the same constant, resulting in the same probability density function
.
Various other conditions need to be applied as well, for example to insure
that the
are all essentially different functions of the data. One of the important
properties of the exponential family is its closure under repeated independent
sampling. In general if
are independent identically distributed with an exponential family
distribution then their joint distribution
is also an exponential family distribution.
Let
(
be a random sample from the distribution with probability density function
given by (exfd). Then
also has an exponential family form, with joint probability density function
In other words,
is replaced by
and
by
.
The natural sufficient statistic is
It is usual to reparameterize equation
(exfd) by replacing
by a new parameter
.
This results in a more efficient representation, the canonical form
of the exponential family density:
The natural parameter space in this form is the set of all values of
for which the above function is integrable; that is
We would like this parameter space to be large enough to allow intervals for
each of the components of the vector
and so we will later need to assume that the natural parameter space contains
a
dimensional
rectangle.
If the statistic satisfies a linear constraint, for example,
with probability one, then the number of terms
could be reduced and a more efficient representation of the probability
density function is possible. Similarly if the parameters
satisfy a linear relationship, they are not all statistically meaningful
because one of the parameters is obtainable from the others. These are all
situations that we would handle by reducing the model to a more efficient and
non-redundant form. So in the remaining, we will generally assume such a
reduction has already been made and that the exponential family representation
is minimal in the sense that neither the
nor the
satisfy any linear constraints.
We will say that
has a regular exponential family distribution if it is in canonical
form, is of full rank in the sense that neither the
nor the
satisfy any linear constraints permitting a reduction in the value of
,
and the natural parameter space contains a
dimensional
rectangle.
By Theorem B5, if
has a regular exponential family distribution then
also has a regular exponential family distribution.
The main advantage identifying a distribution as a member of the regular exponential family is that it allows to to quickly identify the minimal sufficient statistic and conclude that it is complete.
If
has a regular exponential family distribution then
is a complete sufficient statistic.
Let
be independent observations all from the normal
distribution. Notice that with the parameter
we can write the probability density function of each
as a constant
so the natural parameters are
and
and the natural sufficient statistic is
(
For a sample of size
from this density we have the same natural parameters, and, by the above
theorem, a complete sufficient statistic is
(
For example if you wished to find a U.M.V.U.E. of any function of
, for example the parameter
we need only find some function of the compete sufficient statistic which has
the correct expected value. For example, in this case, with the sample mean
and the sample variance
it is not difficult to show that
and so, provided
is an unbiased estimator and a function of the complete sufficient statistic
so it is the desired U.M.V.U.E. Suppose one of the parameters, say
is assumed known. Then the normal distribution is still in the regular
exponential family, since it has a representation
with the function
completely known. In this case, for a sample of size
from this distribution, the statistic
is complete sufficient for
and so any function of it, say
which is an unbiased estimator of
is automatically U.M.V.U.E.
The Table below gives various members of the regular exponential family and the corresponding complete sufficient statistic.
| Members of the Regular Exponential Family | Complete Sufficient Statistic | |
![]() |
![]() |
|
![]() |
![]() |
|
Binomial
![]() |
![]() |
|
Geometric(![]() |
![]() |
|
![]() |
if
known |
![]() |
![]() |
known |
![]() |
![]() |
![]() |
|
(includes exponential) |
if
known |
![]() |
![]() |
if
known |
![]() |
![]() |
![]() |
For a regular exponential family, it is possible to differentiate under the
integral, that is,
for any
and any
in the interior of the natural parameter space.
Let
denote observations from a distribution with probability density function
and let
be a statistic. The information on the parameter
is provided by the sensitivity of the distribution of a statistic to changes
in the parameter. For example, suppose a modest change in the parameter value
leads to a large change in the expected value of the distribution resulting in
a large shift in the data. Then the parameter can be estimated fairly
precisely. On the other hand, if a statistic
has no sensitivity at all in distribution to the parameter, then it would
appear to contain little information for point estimation of this parameter. A
statistic of the second kind is called an ancillary statistic.
is an ancillary statistic if its distribution does not depend on the
unknown parameter
.
Ancillary statistics are, in a sense, orthogonal or perpendicular to minimal sufficient statistics and are analogous to the residuals in a multiple regression, while the complete sufficient statistics are analogous to the estimators of the regression coefficients. It is well-known that the residuals are uncorrelated with the estimators of the regression coefficients (and independent in the case of normal errors). However, the ``irrelevance'' of the ancillary statistic seems to be limited to the case when it is not part of the minimal (preferably complete) sufficient statistic as the following example illustrates.
Suppose a fair coin is tossed to determine a random variable
with probability
and
otherwise. We then observe a Binomial random variable
with parameters
.
Then the minimal sufficient statistic is
but
is an ancillary statistic since its distribution does not depend on the
unknown parameter
.
Is
completely irrelevant to inference about
?
If you reported to your boss an estimator of
such as
without telling him or her the value of
how long would you expect to keep your job? Clearly any sensible inference
about
should include information about the precision of the estimator, and this
inevitably requires knowing the value of
Although the distribution of
does not depend on the unknown parameter
so that
is ancillary, it carries important information about precision. The following
theorem allows us to use the properties of completeness and ancillarity to
prove the independence of two statistics without finding their joint
distribution.
Consider
with probability density function
.
Let
be a complete sufficient statistic. Then
is independent of every ancillary statistic
.
Assume
represents the market price of a given asset such as a portfolio of stocks at
time
and
is the value of the portfolio at the beginning of a given time period (assume
that the analysis is conditional on
so that
is fixed and known). The process
is assumed to be a Brownian motion and so the distribution of
for any fixed time
is
Normal
for
.
Suppose that for a period of length 1, we record both the period high
and the close
.
Define random variables
and
.
Then the joint probability density function of
can be shown to be
It is not hard to show that this is a member of the regular exponential family
of distributions with both parameters assumed unknown. If one parameter is
known, for example,
,
it is again a regular exponential family distribution with
Consequently, if we record independent pairs of observations
on the portfolio for a total of
distinct time periods (and if we assume no change in the parameters), then the
statistic
is a complete sufficient statistic for the drift parameter
.
Since it is also an unbiased estimator of
it is the U.M.V.U.E. of
.
By Basu's theorem it will be independent of any ancillary statistic, i.e. any
statistic whose distribution does not depend on the parameter
One such statistic is
which is therefore independent of
Suppose we have observed
independent discrete random variables all with probability density function
where the scalar parameter
is unknown. Suppose our observations are
.
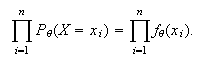
Then the probability of the observed data is:
When the observations have been substituted, this becomes a function of the
parameter only, referred to as the likelihood function and denoted
.
Its natural logarithm is usually denoted
.
Now in the absence of any other information, it seems logical that we should
estimate the parameter
using a value most compatible with the data. For example we might choose the
value maximizing the likelihood function
or equivalently maximizing
.
We call such a maximizer the maximum likelihood (M.L.) estimate
provided it exists and satisfies any restrictions placed on the parameter. We
denote it by
.
Obviously, it is a function of the data, that is,
.
The corresponding estimator is
.
In practice we are usually satisfied with a local maximum of the
likelihood function provided that it is reasonable, partly because the global
maximization problem is often quite difficult, partly because the global
maximum is not always better than a local maximum near a preliminary estimator
that is known to be consistent.. In the case of a twice differentiable log
likelihood function on an open interval, this local maximum is usually found
by solving the equation
for a solution
,
where
is called the score function. The equation
is called the (maximum) likelihood equation or score equation. To
verify a local maximum we compute the second derivative
and show that it is negative, or alternatively show
.
The function
is called the information function. In a sense to be investigated
later,
,
the observed information, indicates how much information about a
parameter is available in a given experiment. The larger the value, the more
curved is the log likelihood function and the easier it is to find the
maximum.
Although we view the likelihood, log likelihood, score and information
functions as functions of
they are, of course, also functions of the observed data
.
When it is important to emphasize the dependence on the data
we will write
etc. Also when we wish to determine the sampling properties of these functions
as functions of the random variable
we will write
etc.
The Fisher or expected information (function) is the expected value
of the information function
.
Suppose a random variable
has a continuous probability density function
with parameter
.
We will often observe only the value of
rounded to some degree of precision (say 1 decimal place) in which case the
actual observation is a discrete random variable. For example, suppose we
observe
correct to one decimal place. Then
assuming the function
is quite smooth over the interval. More generally, if we observe
rounded to the nearest
(assumed small) then the likelihood of the observation is approximately
.
Since the precision
of the observation does not depend on the parameter, then maximizing the
discrete likelihood of the observation is essentially equivalent to maximizing
the the probability density function
over the parameter. This partially justifies the use of the probability
density function in the continuous case as the likelihood function.
Similarly, if we observed
independent values
of a continuous random variable, we would maximize the likelihood
(or more commonly its logarithm) to obtain the maximum likelihood estimator of
.
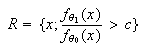
The relative likelihood function
defined as
is the ratio of the likelihood to its maximum value and takes on values
between
and
.
It is used to rank possible parameter values according to their plausibility
in light of the data. If
,
say, then
is rather an implausible parameter value because the data are ten times more
likely when
than they are when
.
The set of
-values
for which
is called a
likelihood region for
When
the parameter
is one-dimensional, and
is its true value,
converges in distribution as the sample size
to a chi-squared distribution with 1 degree of freedom. More generally, the
numbers of degrees of freedom of the limiting chi-squared distribution is the
dimension of the parameter
We can use this to construct a confidence interval for the unknown value of
the parameter. For example if
is chosen to be the 0.95 quantile of the chi-squared(1) distribution
(
,
then
so a
likelihood interval is an approximate
confidence interval for
.
This seems to indicate that the confidence interval tolerates a considerable
difference in the likelihood. The likelihood at a parameter value must differ
from the maximum likelihood by a factor of more than
before it is excluded by a
confidence interval or rejected by a test with level of significance 5%.
Consider a continuous model with a family of probability density functions
.
Suppose all of the densities are supported on a common set
.
Then
and therefore
provided that the integral can be interchanged with the derivative. Models
that permit this interchange, and calculation of the Fisher information, are
called regular models.
Consider a statistical model
with each density supported by a common set
.
Suppose
is an open interval in the real line and
for all
and
.
Suppose in addition
is a continuous, three times differentiable function of
for all
.
for some function
satisfying
.
.
Then we call this a regular family of distributions or a regular
model. Similarly, if these conditions hold with
a discrete random variable and the integrals replaced by sums, the family is
also called regular. Conditions like these permitting the interchange
of expected values and derivative are sometimes referred to as the Cramer
conditions. In general, they are used to justify passage of a derivative under
an integral.
If
is a random sample from a regular model
then
and
The case of several parameters is exactly analogous to the scalar parameter
case. Suppose
.
In this case the ``parameter'' can be thought of as a column vector of
scalar parameters. The score function
is a
dimensional
column vector whose
component is the derivative of
with respect to the
component of
,
that is,
The observed information function
is a
matrix whose
element is
The Fisher information is a
matrix whose components are component-wise expectations of the information
matrix, that is
The definition of a regular family of distributions is similarly extended. For
a regular family of distributions
and the covariance matrix of the score function
var
is the Fisher information, i.e.
Suppose
has a regular exponential family distribution of the form
Then
and
Therefore the maximum likelihood estimator of
based on a random sample
from
is the solution to the
equations
The maximum likelihood estimators are obtained by setting the sample moments
of the natural sufficient statistic equal to their expected values and
solving.
Suppose that the maximum likelihood estimate
is determined by the likelihood equation
It frequently happens that an analytic solution for
cannot be obtained. If we begin with an approximate value for the parameter,
,
we may update that value as follows:
and provided that convergence of
obtains, it converges to a solution to the score equation above. In the
multiparameter case, where
is a vector and
is a matrix, then Newton's method becomes:
In both of these, we can replace the information function by the Fisher
information for a similar
algorithm.
Suppose we consider estimating a parameter
where
is a scalar, using an unbiased estimator
.
Is there any limit to how well an estimator like this can behave? The answer
for unbiased estimators is in the affirmative. A lower bound on the variance
is given by the information inequality.
Suppose
is an unbiased estimator of the parameter
in a regular statistical model
.
Then
Equality holds if and only if
is regular exponential family with natural sufficient statistic
.
If equality holds in (CRLB) then we call
an efficient estimator of
.
The number on the right hand side of (CRLB),
is called the Cramér-Rao lower bound (C.R.L.B.). We often express the efficiency of an unbiased estimator using the ratio of (C.R.L.B.) to the variance of the estimator. Large values of the efficiciency (i.e. near one) indicate that the variance of the estimator is close to the lower bound.
The special case of the information inequality that is of most interest is the
unbiased estimation of the parameter
.
The above inequality indicates that any unbiased estimator
of
has variance at least
.
The lower bound is achieved only when
is regular exponential family with natural sufficient statistic
,
so even in the exponential family, only certain parameters are such that we
can find unbiased estimators which achieve the C.R.L.B., namely those that are
expressible as the expected value of the natural sufficient statistics.
The right hand side in the information inequality generalizes naturally to the
multiple parameter case in which
is a vector. For example if
,
then the Fisher information
is a
matrix. If
is any real-valued function of
then its derivative is a column
vector
.
Then if
is any unbiased estimator of
in a regular model,
for all
.
One of the more successful attempts at justifying estimators and demonstrating
some form of optimality has been through large sample theory or the
asymptotic behaviour of estimators as the sample size
.
One of the first properties one requires is consistency of an estimator. This
means that the estimator converges to the true value of the parameter as the
sample size (and hence the information) approaches infinity.
Consider a sequence of estimators
where the subscript
indicates that the estimator has been obtained from data
with sample size
.
Then the sequence is said to be a consistent sequence of estimators
of
if
for all
.
It is worth a reminder at this point that probability density functions are
used to produce probabilities and are only unique up to a point. For example
if two probability density functions
and
were such that they produced the same probabilities, or the same cumulative
distribution function, for example,
for all
then we would not consider them distinct probability densities, even though
and
may differ at one or more values of
.
Now when we parameterize a given statistical model using
as the parameter, it is natural to do so in such a way that different
values of the parameter lead to distinct probability density functions.
This means, for example, that the cumulative distribution functions associated
with these densities are distinct. Without this assumption, made in the
following theorem, it would be impossible to accurately estimate the parameter
since two different parameters could lead to the same cumulative distribution
function and hence exactly the same behaviour of the observations.
Suppose
is a random sample from a regular statistical model
{
.
Assume the densities corresponding to different values of the parameters are
distinct. Let


.
Then with probability tending to
as
,
the likelihood equation
has a root
such that
converges in probability to
,
the true value of the parameter, as
.
The likelihood equation above does not always have a unique root. The
consistency of the maximum likelihood estimator is one indication that it
performs reasonably well. However, it provides no reason to prefer it to some
other consistent estimator. The following result indicates that maximum
likelihood estimators perform as well as any reasonable estimator can, at
least in the limit as
.
Most of the proofs of these asymptotic results can be found in Lehmann(1991).
Suppose
is a random sample from a regular statistical model
.
Suppose
is a consistent root of the likelihood equation as in the theorem above. Let
the Fisher information for a sample of size one. Then
where
is the true value of the parameter.
This result may also be written as
This theorem asserts that, at least under the regularity required, the maximum
likelihood estimator is asymptotically unbiased. Moreover, the asymptotic
variance of the maximum likelihood estimator approaches the Cramér-Rao
lower bound for unbiased estimators. This justifies the comparison of the
variance of an estimator
based on a sample of size
to the value
,
which is the asymptotic variance of the maximum likelihood estimator
and also the Cramér-Rao lower bound.
It also follows that
This indicates that the asymptotic variance of any function
of the maximum likelihood estimator also achieves the Cramér-Rao lower
bound.
Suppose
is asymptotically normal with mean
and variance
.
The asymptotic efficiency of
is defined to be
.
This is the ratio of the Cramér-Rao lower bound to the variance of
and is typically less than one, close to one indicating the asymptotic
efficiency is close to that of the maximum likelihood estimator.
In the case
,
the score function is the vector of partial derivatives of the log likelihood
with respect to the components of
.
Therefore the likelihood equation is
equations in the
unknown parameters. Under similar regularity conditions to the univariate
case, the conclusion of Theorem B9 holds in this case, that is, the components
of
each converge in probability to the corresponding component of
.
Similarly, the asymptotic normality remains valid in this case with little
modification. Let
be the Fisher information matrix for a sample of size one and assume it is a
non-singular matrix. Then
where
the multivariate normal distribution with
-dimensional
mean vector
and covariance matrix
(
)
, denoted
has probability density function defined on
,
It also follows that
where
.
Once again the asymptotic variance-covariance matrix is identical to the lower
bound given by the multiparameter case of the Information Inequality.
Joint confidence regions can be constructed based on one of the asymptotic
results

or
Confidence intervals for a single parameter, say
,
can be based on the approximate normality of
or
where
is the
entry in the vector
and
is the
entry in the matrix
.
Suppose we observe two independent random variables
having normal distributions with the same variance
and means
respectively. In this case, although the means depend on the parameter
,
the value of this vector parameter is unidentifiable in the sense
that, for some pairs of distinct parameter values, the probability density
function of the observations are identical. For example the parameter
leads to exactly the same joint distribution of
as does the parameter
.
In this case, we we might consider only the two parameters
and anything derivable from this pair estimable, while parameters such as
that cannot be obtained as functions of
are consequently unidentifiable. The solution to the original identifiability
problem is the reparametrization to the new parameter
in this case, and in general, unidentifiability usually means one should seek
a new, more parsimonious parametrization.
In the above example, compute the Fisher information matrix for the parameter
.
Notice that the Fisher information matrix is singular. This means that if you
were to attempt to compute the asymptotic variance of the maximum likelihood
estimator of
by inverting the Fisher information matrix, the inversion would be impossible.
Attempting to invert a singular matrix is like attempting to invert the number
0. It results in one or more components that you can consider to be infinite.
Arguing intuitively, the asymptotic variance of the maximum likelihood
estimator of some of the parameters is infinite. This is an indication that
asymptotically, at least, some of the parameters may not be identifiable. When
parameters are unidentifiable, the Fisher information matrix is generally
singular. However, when
is singular for all values of
,
this may or may not mean parameters are unidentifiable for finite sample
sizes, but it does usually mean one should take a careful look at the
parameters with a possible view to adopting another parametrization.
Which of the two main types of estimators should we use? There is no general
consensus among statisticians.
If we are estimating the expectation of a natural sufficient statistic
in a regular exponential family both maximum likelihood and unbiasedness
considerations lead to the use of
as an estimator.
When sample sizes are large U.M.V.U.E's and maximum likelihood estimators are essentially the same. In that case use is governed by ease of computation. Unfortunately how large ``large'' needs to be is usually unknown. Some studies have been carried out comparing the behaviour of U.M.V.U.E.'s and maximum likelihood estimators for various small fixed sample sizes. The results are, as might be expected, inconclusive.
maximum likelihood estimators exist ``more frequently'' and when they do they are usually easier to compute than U.M.V.U.E.'s. This is essentially because of the appealing invariance property of maximum likelihood estimators.
Simple examples are known for which maximum likelihood estimators behave badly even for large samples. This is more often the case when there is a large number of parameters, some of which, termed ``nuisance parameters'' are of no direct interest, but complicate the estimation.
U.M.V.U.E.'s and maximum likelihood estimators are not necessarily robust. A small change in the underlying distribution or the data could result in a large change in the estimator.
The problem of finding best unbiased estimators is considerably simpler if we
limit the class in which we search. If we permit any function of the data,
then we usually require the heavy machinery of complete sufficiency to produce
U.M.V.U.E.'s. However, the situation is much simpler if we suggest some
initial random variables and then require that our estimator be a linear
combination of these. Suppose, for example we have random variables
with
where
is the parameter of interest and
is another parameter. What linear combinations of the
's
provide an unbiased estimator of
and among these possible linear combinations which one has the smallest
possible variance? To answer these questions, we need to know the covariances
(at least up to some scalar multiple). Suppose
and
var
.
Let
and
We can write the model in a form reminiscent of linear regression as
where

and the
's
are uncorrelated random variables with
and
var
.
Then the linear combination of the components of
that has the smallest variance among all unbiased estimators of
is given by the usual regression formula
and
provides the best estimator of
in the sense of smallest variance. In other words, the linear combination of
the components of
which has smallest variance among all unbiased estimators of
is
where
.
In the above example, we may compute the Fisher information matrix for the
parameter
as follows.
The log likelihood is
and
the Fisher information is the covariance matrix of the score vector
and
this is
Notice
that
is, in this case, singular. If you were to attempt to compute the asymptotic
variance of the maximum likleihood estimator of
by inverting this information matrix, the inversion is impossible. Attempting
to invert a singular matrix is like attempting the inverse of
, one or more components of the inverse can be taken to be infinite,
indicating that, asymptotically at least, one of more of the parameters is
unidentifiable.
More generally, we wish to consider a number
of possibly dependent random variables
whose expectations may be related to a parameter
.
These may, for example, be individual observations or a number of competing
estimators constructed from these observations. We assume
has expectation given by
where
is some
matrix having rank
and
is a vector of unknown parameters. As in multiple regression, the matrix
is known and non-random. Suppose the covariance matrix of
is
with
a known non-singular matrix and
a possibly unknown scalar parameter. We wish to estimate a linear combination
of the components of
,
say
where
is a known
-dimensional
column vector. We restrict our attention to unbiased estimators of
.
Theorem B11: Gauss-Markov Theorem
Suppose
is a random vector with mean and covariance matrix
where
matrices
and
are known and the parameters
and
unknown. Suppose we wish to estimate a linear combination
of the components of
.
Then among all linear combinations of the components of
which are unbiased estimators of the parameter
the estimator
has
the smallest variance.
Note that this result does not depend on any assumed normality of the
components of
but only on the first and second moment behaviour, that is, the mean and the
covariances. The special case when
is the identity matrix is the least squares estimator.
To find the maximum likelihood estimator, we usually solve the likelihood
equation
Note that the function on the left hand side is a function of both the
observations and the parameter. Such a function is called an estimating
function. Most sensible estimators, like the maximum likelihood
estimator, can be described easily through an estimating function. For
example, if we know
var
for independent identically distributed
,
then we can use the estimating function
to estimate the parameter
,
without any other knowledge of the distribution, its density, mean etc. The
estimating function is set equal to 0 and solved for
.
The above estimating function is an unbiased estimating function in
the sense that
This allows us to conclude that the function is at least centered
appropriately for the estimation of the parameter
.
Now suppose that
is an unbiased estimating function corresponding to a large sample. Often it
can be written as the sum of independent components, for example
Now suppose
is a root of the estimating equation
Then for
sufficiently close to
,
Uusing the Central Limit Theorem, assuming that
is the true value of the parameter and provided
is a sum as in (B3.5), the left hand side of
(ef2) is approximately normal with mean
and variance equal to
var
.
The term
is also a sum of similar derivatives of the individual
.
If a law of large numbers applies to these terms, then when divided by
this sum will be asymptotically equivalent to
.
It follows that the root
will have an approximate normal distribution with mean
and variance
By analogy with the relation between asymptotic variance of the maximum
likelihood estimator and the Fisher information, we call the reciprocal of the
above asymptotic variance formula the Godambe information of the
estimating function. This information measure is
Godambe(1960) proved the following result.
Among all unbiased estimating functions satisfying the usual regularity
conditions, an estimating function which maximizes the Godambe information
(B3.6) is of the form
where
is non-random.
There are two major schools of thought on the way in which statistical inference is conducted, the frequentist and the Bayesian school. Typically, these schools differ slightly on the actual methodology and the conclusions that are reached, but more substantially on the philosophy underlying the treatment of parameters. So far we have considered a parameter as an unknown constant underlying or indexing the probability density function of the data. It is only the data, and statistics derived from the data that are random.
The Bayesian begins with the assertion that the parameter
obtains as the realization of some larger random experiment. The parameter is
assumed to have been generated according to some distribution, the prior
distribution
and the observations then obtained from the corresponding probability density
function
interpreted as the conditional probability density of the data given the value
of
.
The prior distribution
quantifies information about
prior to any further data being gathered. Sometimes
can be constructed on the basis of past data. For example, if a quality
inspection program has been running for some time, the distribution of the
number of defectives in past batches can be used as the prior distribution for
the number of defectives in a future batch. The prior can also be chosen to
incorporate subjective information based on an expert's experience and
personal judgement. The purpose of the data is then to adjust this
distribution for
in the light of the data, to result in the posterior distribution for
the parameter. Any conclusions about the plausible value of the parameter are
to be drawn from the posterior distribution. For a frequentist, statements
like
are meaningless; all randomness lies in the data and the parameter is an
unknown constant. Frequentists are careful to assure students that if an
observed 95% confidence interval for the parameter is
this does not imply
.
However, a Bayesian will happily quote such a probability, usually
conditionally on some observations, for example,
.
In spite of some distance in the philosophy regarding the (random?) nature of
statistical parameters, the two paradigms tend to largely agree for large
sample sizes because the prior assumptions of the Bayesian tend to be a small
contributor to the conclusion.
Suppose the parameter is initially chosen at random according to the prior
distribution
and then given the value of the parameter the observations are
independent identically distributed, each with conditional probability
(density) function
.
Then the posterior distribution of the parameter is the conditional
distribution of
given the data
where
is independent of
and
is the likelihood function. Since Bayesian inference is based on the posterior
distribution it depends only on the data through the likelihood function.
Suppose a coin is tossed
times with probability of heads
.
It is known from my ``very considerable previous experience with coins'' that
the prior probability of heads is not always identically
but follows a
BETA
distribution. If the
tosses result in
heads, we wish to find the posterior density function for
.
In this case the prior distribution for the parameter
is the Beta(10,10) distribution with probability density function
The posterior distribution of
is therefore proportional to
where the constant
may depend on
but dos not depend on
Therefore the posterior distribution is also a Beta distribution but with
parameters
Notice that the posterior mean is the expected value of this beta distribution
and is
which, for
and
sufficiently large, is reasonably close to the usual estimator
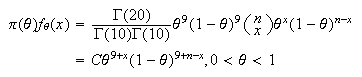
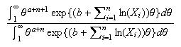
If a prior distribution has the property that the posterior distribution is in the same family of distributions as the prior then the prior is called a conjugate prior.
Suppose
is a random sample from the exponential family
and
is assumed to have the prior distribution with parameters
given by
where
Then the posterior distribution of
,
given the data
is easily seen to be given by
where
Notice that the posterior distribution is in the same family of distributions
as (3.8) and thus
is a conjugate prior. The value of the parameters of the posterior
distribution reflect the choice of parameters in the prior.
To find the conjugate prior for
(
for a random sample
from the
beta(
distribution with probability density function
we begin by writing this in exponential family
form,
Then the conjugate prior distribution is the joint probability density
function
on
(
which is proportional to
for parameters
The posterior distribution takes the same form as
(priorbeta) but with the parameters
replaced by
Bayesians are sometimes criticised for allowing their subjective opinions (in
this case leading to the choice of the prior parameters
influence the resulting inference but notice that in this case, and more
generally, as the sample size
grows, the value of the parameters of the posterior distribution is mostly
determined by the components
above which grow in
eventually washing out the influence of the choice of prior parameters.
The choice of the prior distribution to be the conjugate prior is often
motivated by mathematical convenience. However, a Bayesian would also like the
prior to accurately represent the preliminary uncertainty about the plausible
values of the parameter, and this may not be easily translated into one of the
conjugate prior distributions. Noninformative priors are the usual way of
representing ignorance about
and they are frequently used in practice. It can be argued that they are more
objective than a subjectively assessed prior distribution since the latter may
contain personal bias as well as background knowledge. Also, in some
applications the amount of prior information available is far less than the
information contained in the data. In this case there seems little point in
worrying about a precise specification of the prior distribution.
In the coin tossing example above, we assumed a Beta(10,10) prior distribution
for the probability of heads. If were no reason to prefer one value of
over any other then a noninformative or `flat' prior disribution for
that could be used is the
UNIF
distribution, also as it turns out a special case of the beta distribution.
Ignorance may not be bliss but for Bayesians it is most often uniformly
distributed. For estimating the mean
of a
N
distribution the possible values for
are
.
If we take the prior distribution to be uniform on
,
that is,
then this is not a proper probability density since
Prior densities of this type are called improper priors. In this case we could
consider a sequence of prior distributions such as the
UNIF
which approximates this prior as
.
Suppose we call such a prior density function
.
Then the posterior distribution of the parameter is given by
and it is easy to see that as
,
this approaches a constant multiple of the likelihood function
.
For reasonably large sample size,
is often integrable and can therefore be normalized to produce a proper
posterior distribution, even though the corresponding prior was improper. This
Bayesian development provides an alternate interpretation of the likelihood
function. We can consider it as proportional to the posterior distribution of
the parameter when using a uniform improper prior on the whole real
line. The language is somewhat sloppy here since, as we have seen, the uniform
distribution on the whole real line really makes sense only through taking
limits for uniform distributions on finite intervals.
In the case of a scale parameter, which must take positive values such as the normal variance, it is usual to express ignorance of the prior distribution of the parameter by assuming that the logarithm of the parameter is uniform on the real line.
One possible difficulty with using nonformative prior distributions is the
concern whether the prior distribution should be uniform for
itself or some function of
,
such as
or
The objective when we used a uniform prior for a probability was to add no
more information about the parameter around one possible value than around
some other, and so it makes sense to use a uniform prior for a parameter that
essentially has uniform information attached to it. For this reason, it is
common to use a uniform prior for
where
is the function of
whose Fisher information,
is constant. This idea is due to Jeffreys and leads to a prior distribution
which is proportional to
Such a prior is referred to as a Jeffreys' prior. The
reparametrization which leads to a Jeffrey's prior can be carried out as
follows: suppose
is a regular model and
is the Fisher information for a single observation. Then if we choose an
abitrary value for
and define the reparameterization
Then in this case, the Fisher information for the parameter
,
equals one for all values of
and so Jeffry's prior corresponds to using a uniform prior distribution on the
values of
Since the asymptotic variance of the maximum likelihood estimator
is
equal to
,
which does not depend on
(3.9)
is often called a variance stabilizing transformation.
One method of obtaining a point estimator of
is to use the posterior distribution and a suitable loss function.
The Bayes estimator of
for
squared error loss with respect to the prior
given data
is the mean of the posterior distribution given by
This estimator minimizes
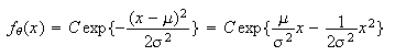
Suppose
is a random sample from the distribution with probability density function
Using a conjugate prior for
find the Bayes estimator of
for squared error loss.
We begin by identifying the conjugate prior distribution. Since
the conjugate prior density is
which is evidently a Gamma distribution restricted to the interval
and if the prior is to be proper, the parameters must be chosen such that
so
Then the posterior distribution takes the same form as the prior but with
replaced by
and
by
The Bayes estimate of
for squared error loss is the mean of this posterior distribution, or
There remains, after many decades, a controversy between Bayesians and
frequentists about which approach to estimation is more suitable to the real
world. The Bayesian has advantages at least in the ease of interpretation of
the results. For example, a Bayesian can use the posterior distribution given
the data
to determine points
such that
and then give a Bayesian confidence interval
for the parameter. If this results in the interval
the Bayesian will state that (in a Bayesian model, subject to the validity of
the prior) the conditional probability given the data that the parameter falls
in the interval
is
.
No such probability can be ascribed to a confidence interval for frequentists,
who see no randomness in the parameter to which this probability statement is
supposed to apply. Bayesian confidence regions are also called credible
regions in order to make clear the distinction between the interpretation
of Bayesian confidence regions and frequentist confidence regions.
Suppose
is the posterior distribution of
given the data
and
is a subset of
.
If
then
is called a
credible region for
A credible region can be formed in many ways. If
is an interval such that
then
is called a
equal-tailed credible region. A highest posterior density (H.P.D.)
credible region is constructed in a manner similar to likelihood regions. The
highest posterior density. credible region is given by
where
is chosen such that
A highest posterior density credible region is optimal in the sense that it is
the shortest
credible interval for a given value of
.
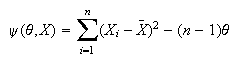
Suppose
is a random sample from the
N
distribution where
is known and
has the conjugate prior. Find the
H.P.D. credible region for
.
Compare this to a
C.I. for
Suppose the prior distribution for
is
so the prior density is given by
and
the posterior density by
where
the constants
and
depend on
but not on
and where
Therefore
the posterior distribution of
is
It follows that the 0.95 H.P.D. credible region is of the form
Notice
that as
the weight
and so
is asymptotically equivalent to the sample mean
Similarly, as
is asymptotically equivalent to
.
This means that for large values of
the H.P.D. region is close to the region
and
the latter is the 95% confidence interval for
based on the normal distribution of the maximum likelihood estimator
Finally, although statisticians argue whether the Bayesian or the frequentist approach is better, there is really no one right way to do statistics. There is something fundamentalist about the Bayesian paradigm, (though the Reverand Bayes was, as far as we know, far from a fundamentalist) in that it places all objects, parameters and data, in much the same context and treats them similarly. It is a coherent philosophy of statistics, and a Bayesian will vigorously argue that there is an inconsistency in regarding some unknowns as random and others deterministic. There are certainly instances in which a Bayesian approach seems more sensible-- particularly for example if the parameter is a measurement on a possibly randomly chosen individual (say the expected total annual claim of a client of an insurance company).
Statistical estimation usually concerns the estimation of the value of a
parameter when we know little about it except perhaps that it lies in a given
parameter space, and when we have no a priori reason to prefer one
value of the parameter over another. If, however, we are asked to decide
between two possible values of the parameter, the consequences of one choice
of the parameter value may be quite different from another choice. For
example, if we believe
is normally distributed with mean
and variance
for some explanatory variables
,
then the value
means there is no relation between
and
.
We need neither collect the values of
nor build a model around them. Thus the two choices
and
are quite different in their consequences. This is often the case.
A hypothesis test involves a (usually natural) separation of the parameter
space
into two disjoint regions,
and
.
By the difference between the two sets we mean those points in the former
that are not in the latter
.
This partition of the parameter space corresponds to testing the null
hypothesis that the parameter is in
.
We usually write this hypothesis in the form
The null hypothesis is usually the status quo. For example in a test of a new
drug, the null hypothesis would be that the drug had no effect, or no more of
an effect than drugs already on the market. The null hypothesis is only
rejected if there is reasonably strong evidence against it. The
alternative hypothesis determines what departures from the null
hypothesis are anticipated. In this case, it might be simply
Since we do not know the true value of the parameter, we must base our
decision on the observed value of
.
The hypothesis test is conducted by determining a partition of the
sample space into two sets, the critical or rejection region
and its complement
which is called the acceptance region. We declare that
is false (in favour of the alternative) if we observe
.
The power function of a test with critical region
is the function
or the probability that the null hypothesis is rejected as a function of the
parameter.
It is obviously desirable, in order to minimize the two types of possible
errors in our decision, for the power function
to be small for
but large otherwise. The probability of rejecting the null hypothesis when it
is true (type I error) is a particularly important type of error
which we attempt to minimize. This probability determines one important
measure of the performance of a test, the level of significance.
A test has level of significance
if
for all
.
The level of significance is simply an upper bound on the probability of a type I error. There is no assurance that the upper bound is tight, that is, that equality is achieved somewhere. The lowest such upper bound is often called the size of the test.
The size of a test is equal to
.
Tests are often constructed by specifying the size of the test, which in turn
determines the probability of the type I error, and then attempting to
minimize the probability that the null hypothesis is accepted when it is false
(type II error). Equivalently, we try and maximize the power function
of the test for
.
A test with power function
is a uniformly most powerful (U.M.P.) test of size
if, for all other tests of the same size
having power function
,
we have
for all
.
The word ``uniformly'' above refers to the fact that one function dominates
another, that is,
uniformly for all
.
When the alternative
consists of a single point
then the construction of a best test is particularly easy. In this case, we
may drop the word ``uniformly'' and refer to a ``most powerful test''. The
construction of a best test, by this definition, is possible under rather
special circumstances. First, we often require a simple null
hypothesis. This is the case when
consists of a single point
and so we are testing the null hypothesis
.
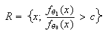
Let
have probability (density) function
.
Consider testing a simple null hypothesis
against a simple alternative
.
For a constant
,
suppose the critical region defined by
corresponds to a test of size
.
Then the test with this critical region is a most powerful test of size
for testing
against
.
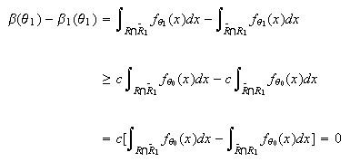
Proof:
Consider another critical region
with the same size. Then
Therefore
and
For
,
and thus
For
,
and thus
Now
and
Therefore, using (4.1),
(4.2), and (4.3) we have
and the test with critical region
is therefore the most powerful.
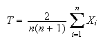
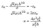
Suppose we anticipate collecting daily returns from the past
days of a stock,
assumed to be distributed according to a
Normal
distribution. Here
is the length of a day measured in years,
and
are the annual drift and volatility parameters. We wish to test whether the
stock has zero or positive drift, so we wish to test the hypothesis
against the alternative
at level of significance
.
We want the probability of the incorrect decision when the drift is 20% per
year to be small, so let us choose it to be
as well, which means that when
the power of the test should be at least
How large a sample must be taken in order to insure this?
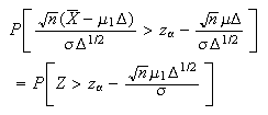
The test itself is easy to express. We reject the null hypothesis if
where the value
has been chosen so that
when
has a standard normal distribution. The power of the test is the probability
when the parameter
and this is
where
has a standard normal distribution. Since we want the power to be
the value
must be chosen to be
Solving for the value of

Now if we try some reasonable values for the parameters, for example
,
then
which is about 55 years worth of data, far larger a sample than we could hope
to collect. This example shows that the typical variabilities in the market
are so large, compared with even fairly high rates of return, that it is
almost impossible to distinguish between theoretical rates of return of 0% and
20% per annum using a hypothesis test with daily data.
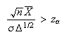
There is a close relationship between hypothesis tests and confidence
intervals as the following example illustrates. Suppose
is a random sample from the
N(
,1)
distribution and we wish to test the hypothesis
against
.
The critical region
is a size
critical region which has a corresponding acceptance region
Note that the hypothesis
would not be rejected at the
level if
or equivalently
which is a
C.I. for
Let
be a random sample from the
Gamma
distribution. Show that
is a size
critical region for testing
.
Show how this critical region may be used to construct a
C.I. for
Consider a test of the hypothesis
against
.
We have seen that for prescribed
,
the most powerful test of the simple null hypothesis
against a simple alternative
is based on the likelihood ratio
.
By the Neyman-Pearson Lemma it has critical region
whre
is a constant determined by the size of the test. When either the null or the
alternative hypothesis are composite (i.e. contain more than one
point) and there is no uniformly most powerful test, it seems reasonable to
use a test with critical region
for some choice of
.
The likelihood ratio test does this with
replaced by
,
the maximum likelihood estimator over all possible values of the parameter,
and
replaced by the maximum likelihood estimator of the parameter when it is
restricted to
.
Thus, the likelihood ratio test has critical region
where
and
is determined by the size of the test. In general, the distribution of the
test statistic
may be difficult to find. Fortunately, however, the asymptotic distribution is
known under fairly general conditions. In a few cases, we can show that the
likelihood ratio test is equivalent to the use of a statistic with known
distribution. However, in many cases, we need to rely on the asymptotic
chi-squared distribution of Theorem 4.4.6.
Let
be a random sample from the
N
distribution where
and
are unknown. Consider a test of
against the alternative
We can show that the likelihood ratio test of
against
has critical region
.
Under
that the statistic
has a
F
distribution and we can thus find a size
test for
.
Suppose
is a random sample from a regular statistical model
with
an open set in
dimensional
Euclidean space. Consider a subset of
defined by
open subset of
-dimensional
Euclidean space
.
Then the likelihood ratio statistic defined by
is such that, under the hypothesis
,
Note: The number of degrees of freedom is the difference
between the number of parameters that need to be estimated in the general
model, and the number of parameters left to be estimated under the
restrictions imposed by
.
We have seen that a test of hypothesis is a rule which allows us to decide
whether to accept the null hypothesis
or to reject it in favour of the alternative hypothesis
based
on the observed data. In situations in which
is difficult to specify a test of significance could be used. A (pure) test of
significance is a procedure for measuring the strength of the evidence
provided by the observed data against
.
This method usually involves looking at the distribution of a test statisitic
or discrepancy measure
under
The p-value or significance level for the test is the
probability, computed under
of observing a
value at least as extreme as the value observed. The smaller the observed
p-value, the stronger the evidence against
.
The difficulty with this approach is how to find a statistic with `good
properties'. The likelihood ratio statistic provides a general test statistic
which may be used.
Score tests can be viewed as a more general class of tests of
against
which tend to have considerable power provided that the values of the
parameter under the null and the alternative are close. If the usual
regularity conditions hold then under
we have
and thus
For a vector
we have
The test based on
is called a (Rao) score test. It has critical region
where
is determined by the size of the test, that is,
satisfies
where
The test based on
is asymptotically equivalent to the likelihood ratio test.
Suppose that
is the maximum likelihood estimator of
over all
and we wish to test
against
If the usual regularity conditions hold then under
A
test based on the test statistic
is called a Wald test. It has critical region
where
is determined by the size of the test. Both the score test and the Wald test
are asymptotically equivalent to the likelihood ratio test and the intuitive
expanation for these equivalences are quite simple. For large values of the
sample size
the maximum likelihood estimator
is close to the true value of the parameter
and so the log likelihood can be approximated by the first two terms in the
Taylor series expansion of
about
and so
since
and
the observed
information
is asymptotically equivalent to the Fisher information
This verifies the equivalence of the likelihood ratio and the Wald test.